DONDERDAG 26 FEBRUARI 2026
Het Groninger B&W drama – met Ambtenaren – klotst verder en verder.
Hieronder de brief (3 pagina’s -26 Februarii 2026 – Kenmerk 10522389) die ik hedenochtend in mijn brievenbus aantrof.
Pagina 1 t/m 3.
Zelfs het Copieer AAP-e- Raad schrok zich scheef van wat hij/zij las…..



DINSDAG 24 Februari 2026,
NIGHTBIRD / youtube link
Ik heb zojuist de zoveelste zware mishandel brief van B&W gekregen.
ik kan niet uitweiden omdat de naam van de TOP Ambtenaar niet bekend mag worden gemaakt.
Maar u mag 100% van mij aannemen dat het de zoveelste – opzettelijke – zeer akelige brief is.
Elk weldenkend medemens ziet van verre het pesterijgedrag.
En zal verbaasd zijn dat Top Ambtenaren – namens B&W – dit getreiter blijven flikken!
Wellicht omschrijf ik binnenkort het wangedrag.
**************************************************************
KLACHT INGEDIEND
Wij hebben uw klacht ontvangen. Het zaaknummer is 58655-2026.
Mevrouw Kiki
25 Februari 2025
11:11
PER DIRECT!!!
Namens alle bewoners en alle (studenten) fietsers eisen wij – meerdere verkeersregelaars – op de stoep(en) van de Kerklaan!
Meerderen komen – van alle kanten – op de stoep fietsend – voorbij.
De Gemeente Groningen, Bestuurders, Ambtenaren, Aannemers en Verkeersregelaars
zijn kennelijk niet afdoende professioneel of zij hebben SCHIJT aan alles.
LEVENSGEVAARLIJK!
**************************************************************
LAAT U NIET OPLICHTEN!!!
ZO WORDT DE KERKLAAN NOOIT!
B&W HEEFT U EEN VALS BEELD / link VERKOCHT!
OOK GELD – PROVINCIE IS ER INGETRAPT!
EN ZERNIKE WELLICHT OOK!
***************************************************************
STOP PER DIRECT MET HET LEVENSGEVAARLIJK VERANDERINF VAN DE KERKLAAN!
De voorzitter van de Buurtvereniging mij VERBOOD om mee te denken.
“Hij zei letterlijk in een buurtvergadering, toen ik aangaf meet te willen denken: “Jij NIET!”
En alle overige aanwezigen gingen daar in mee.
Terwijl ik hier al 50 JAAR WOON.
**************************************************************
IK HEB AL 15,5 JAAR EEN AMBTENAREN CONTACT VERBOD ….
Ik mocht ook GEEN contant hebben met de verkeersdeskundigen van de Gemeente Groningen.
En de Gemeente Groningen en de aannemer De Wilde WEIGERDEN beiden,
om mij STRAKKE info te geven over de huidige afmetingen en de toekomstige afmetingen.
***************************************************************
STOP met het LEVENSGEVAARLIJK maken van de nu nog veilige Kerklaan!
De enige Verkeersregelaar krijgt het zelfs – op dit moment – NIET voor elkaar dat fietser NIET over de enige stoep fietsen!
***************************************************************
BOVENDIEN WORDEN U EN DE PROVINCIE – ALS MEDE GELD SCHIETER –
VOORGELOGEN OVER HET EINDPRODUCT VAN DEZE ONWENSELIJKE VERNIELING!
*************************************************************
OP DIT MOMENT LIGT DE NU NOG VEILIGE
Authentieke Kerklaan
er nagenoeg volledig uit.
TEN BEHOEVE voor de ‘aanleg’:
The Zernike International Student BIKE HIGH WAY
IN MIJN VISIE:
IS DEZE VERANDERING ONNODIG EN LEVENSGEVAARLIJK.
ER IS DUS OOK ZWAAR ONTERECHT EEN DUIK GENOMEN
IN DE GEMEENSCHAPSPORTEMOINAE
€1,4 MILJOEN, DAT WORDT NATUURLIJK MEER!….
De straat wordt versmalt en wordt verbouwd tot een levensgevaarlijke
buurtstraat / fietsstraat / winkeliers toeleveringsstraat.
Juist zeer onwenselijk voor de veelheid aan fietsers!
De AUTO, wordt ‘TE GAST’.
Nee, die AUTO’S – DIE ELLENDIGE GEPARKEERDE GASTEN KOMEN U
ZEER ONGEZELLIG OP DE VERHOOGDE STOEPEN!
DAT BETEKENT HEEL CONCREET
VAN DIE LOEIERS VAN AUTO’S OP DE VERHOOGDE STOEPEN.
IN EEN ON-BEGRENSD (!!!) PARKEERVAK!
DUS NIET MEER LAAG OP HET WEGDEK, WAAR ZE (ENEGETISCH) HOREN!
***********************************************************************
De GROTE GRIJZE stoeptegels lagen een goed en netjes in.
Zij geven de straat veel licht.
Met ROOD stoepstenen (In de volksmond -> Deze Rode Kleur = DELFZIJLSE ARMOE)
en een ROOD wegdek,
wordt DE STRAAT van de ene kant naar de andere kant een MAANDVERBANDJE.
En naar verloop van tijd een smerig zootje.
***********************************************************************
Zelfs de onderhoudsvrije oorspronkelijke MONUMENTALE KEIEN
IN het Noorderplantsoen worden VERWIJDERD!
Want OOK in het Monumentale Noorderplantsoen komt dat vieze rode asfalt,
dat overal in de stad kapot en aan flarden is.
**********************************************************************
DE TIJD VAN VEILIG EN PRETTIG WONEN IS DEFINITIEF VOOR BIJ.
KINDEREN KUNNEN NIET OP DE STOEPEN SPELEN!
Alle volwassenen – al dan niet goed ter been – hebben ook niks meer in deze straat te zoeken.
*****
Ik schat in dat de WOZ en Woning Waarde van de Woningen ZWAAR zullen kelderen.
Want wie wil nu een loeier van een auto op de stoep, bijna tegen je voordeur,
waar je zelfs niet overheen kan kijken?
*********************************************************************************************
HET IS VOORBIJ!
Ik heb het grootste gedeelte van mijn leven zeer aangenaam kunnen leven.
Maar:
Sinds het optopgedrag van dichtbije buurtgenoten van Karakteristieke (schippers) en hoekwoning – BUITEN HET BESTEMMINGSPLAN –
Het naar de klote helpen van de wonderschone sfeer van het Noorderplantsoen,
Het omknetteren van de eigenaren (tevens Raadslid) van het monumentale restaurant Zondag tot Friettentsfeer, en de essentiële zichtlijnen blokkeren
De op hande zijnde Monumentale Kastanje gezaag van de Vismarkt,
De open wortel Boomspiegels in de Oude Ebbingestraat,
Het overhangen van kerstverlichting BOVEN de stoep door een eettentje aldaar,
De massale reclameborden (bijvoorbeeld Folkngstraat- die de stoepen blokkeren
waardoor je elkaar niet kan passeren, en je de etalages NIET kunt bekijken,
De massale – nog steeds – Kerstlampjes in de Lindes op de ZUIDKANT Vismarkt,
Het compleet naar de klote rijden – VERDICHTING VAN DE GROND –
van de velden bij de Monumentale Bomen van de Nieuwe Kerk en dan de oppervlakkige schade dan snel vlak vegen,
Het blokkeren van de stoep – UITGEREKEND – door een fietsenkeet en hun EIGEN fietsen bij de Ossenmarkt,
Het gruwelijk lelijke verouderde Reclamebord (Pius Floris) wedstrijdbord van MOOISTE BOOM ONDER de monumentale Treurbeuk bij de Nieuwe Kerk….
Het blokkeren van goede en fatsoenlijke omgang van B&W en politici met de Stadjer,
WAARDOOR inmiddels er veel zaken zijn,
waar een massa aan ambtenaren en advocaten op duiken.
Op geld van ons allemaal….
Terwijl kinderen in de stad in armoede leven…
etc etc etc
is de lol voor mij, en velen met mij er af.
***********************************************************************
DONDERDAG 19 FEBRUARI 2026
>>> EEN KNETTER KRITISCHE JOURNALIST MAG ZICH MELDEN <<<
!!!!! ALARM !!!!!
IK BEN GISTERAVOND IN HET GRONINGER STADHUIS
ZO EXTREEM ZWAAR MISHANDELD,
DAT IK DAAR – MIJN HELE LEVEN –
NOOIT MEER ZAL KOMEN !
WAT IK GISTER HEB MOETEN ONDERGAAN
EN
WAT IK GISTER HEB GEZIEN
DAAR KAN HET MEEST SMERIGE REGIEM NOG IETS VAN LEREN.
!!!!! ALARM !!!!!
TJA… / link
^^^^^^^^^^^^^^^^^^^^^^^^^^^^^^^^^^^^^^^^^^^^^^^^^^^^^^^^^^^^^^^^^^^^
888888888888888888888888888888888888888888888888
^^^^^^^^^^^^^^^^^^^^^^^^^^^^^^^^^^^^^^^^^^^^^^^^^^^^^^^^^^^^^^^^^^^^
WOENSDAG 18 FEBRUARI 2026
STOP DE VALSE BOMEN MOORD NU!
STOP DE VALSE BOMEN MOORD NU!
B&W GRONINGEN WIL GEZONDE MONUMENTALE KASTANJE
OP DE VISMARKT – ZUIDZIJDE – TEGEN DE VLAKTE ZAGEN!
VERBIJSTERING!
VANAVOND – 18 FEBRUARI 2026 – BESLOOT DE GRONINGER GEMEENTERAAD
DAT DEZE PRACHTIGE GEZONDE MONUMENTALE KASTANJE TEGEN DE VLAKTE GAAT.
OP BASIS VAN HET ZOVEELSTE ONJUISTE BOMENONDERZOEK / LINK.

AAN DE LINKER KANT VAN DEZE FOTO,
DIRECT RECHTS VAN DE KLOKGEVEL,
STAAT DEZE GROTE GEZONDE KASTANJE.
************************************************************************************
BURGEMEESTER KAMMINGA SCHANDAAL !!!
HET ZOVEELSTE TE GROFFE
HOOGSTE TIJD VOOR EEN DIEPGAAND INTEGRITEITSONDERZOEK.
17 Februari 2026
11:04 uur
Ik ben op dit moment compleet onaanspreekbaar.
Ik heb daarstraks ontdekt dat twee weken geleden – 4 februari 2026 –
de bijna kers verse Burgemeester Roelien Kamminga en dito Gemeentesecretaris Sander Gerritsen,
alle zogenoemde ‘veel schrijvers’ een fikse loer hebben geflikt.
Mijn straattaal is bijna top geëvalueerd!
Ik heb al 15,5 jaar slechts ONRECHTMATIG een contacambtenaar
omdat het contactverbod mij – en ANDEREN is opgelegd: ZONDER BELEID!
Leest u gerust mee.
In deze 2 pagina’s brief staat niets over concreet uit te voeren beleid.
De zogenaamde ‘beleids brief’ is niet meer en niet minder dan een pure jammerklacht: Gemeentelijk beleidskader veel vragende personen / link.
De ‘beleid gejammer brief’ is gericht aan de Groninger Gemeenteraadsleden.
Dit gedonder is geaccepteerd door de Groninger Gemeenteraadsleden!!!
Kortom:
In deze ‘beleid brief’ STAAT NIETS!
NUL komma NIETS !!!!!
Over:
WAT en HOE: De zware contactregeling tot stand komt.
EVENMIN: Hoe het contactverbod – in de praktijk – moet werken.
NIETS: Wat de rechten en de plichten van de ‘veelvragende personen’ zijn !!!!
GEEN PLICHTEN: Voor de Enige Contact Ambtenaar (ECA) naar de ‘veelvragers’.
**********************************************************
IN JANUARI 2026
KIJK DIT BEATLES FILMPJE / LINK EN BEGRIJP MIJN INZET NAAR DE ‘KIKI PLATAAN’.
Sneeuwijzers voor onder mijn laarzen zijn uitverkocht.
Is deze vent te koop? / link
Hoef niet voor een aanbieding.
Mag voor de volle prijs!

DvhN journalist Frits Poelman / link
Heeft mij de titel Boombeschermvrouwe gegeven.
Die titel heb ik van harte aangenomen.
Wethoudster Joan Pieter Stam (D’66) / link
Heeft de reddingsaktievan de ‘Kiki Plataan’ 10 dagen door het RAAM van haar werkkamer in het Groninger Stadhuis zien gebeuren.
Zij en verkeersambtenaar Han Vriens (in mooie dierbare herinnering) hebben de ‘Kiki Plataan’ behouden.

Han: “Jij hebt mij geleerd dat Bomen geen lucifersstokjes zijn.”
Wethouder Willem Smink (PvdA) zei: “De stad is van Steen!”
Hij keek naar de Tribune / link .
Klaas Van Nierop (Stadsecoloog) / link 2009
“Mevrouw Kiki was de eerste die ons wees op het belang van Bomen in de stad.
Maar de natuur is nu echt een onderdeel van gemeentelijk beleid.”
Wout Velstra (Stadsecolog) / link
Hij ging zich ook inzetten.
Jorn Copijn – Landschapsarchitect en Noorderplantsoen zager! / link
Al in 1995 zeiden hij en ik ……….
****^^^^^^*****^^^^^^^^^^******^^^^^^^^^^^^*********^^^^^^^^**********^^^^^^^^*********************
De natuurstenen bak rondom de stam van ‘Kiki Plataan’.
Er stond een bak water.
B&W ontekent.

WOENSDAG 11 FEBRUARI 2026
********************** HOGER BEROEP ! WEGENS VONNIS 10CM KIT *************************
“ Er is Hoger Beroep aangetekend.
En daar ben ik heel erg dankbaar voor!“
*
MINI INTERVIEW:
Vraag:
“Hoe is het met u?”
Antwoord:
“Uitgeput door de afgelopen 3 maanden door de volkomen onterechte beslaglegging
van mijn AOW: uitgevoerd door AGIN Pranger Incasso in opdracht van B&W Groningen.
De extreem veel nachtelijke uren – met Google AI – heeft mij er doorheen gesleept.
Daardoor heb ik toch argumenten gevonden om in Hoger Beroep te gaan!
Ondanks dat de – bizarre – Appelgrens van € 1750,= in het VONNIS niet gehaald is.
Iedereen stelde dat het doorbreken Appelgrens _van de € 1750, = / link nagenoeg onmogelijk is.
Ik denk dat ik weldegelijk zeer standvastige & reële juridische argumenten heb gevonden.
Ik ben geschrokken van de enorme angst onder de Stadjers!
En van die financiële angst maakt B&W Groningen zwaar misbruik.
Iedereen zei – zwaar bezorgd – dat ik maar moest betalen en omdat het bedrag alleen maar toeneemt.
Ik ben en was dat niet van plan.
Ik heb 100% ter goeder touw gehandeld.
Ik heb slechts geprobeerd om de ‘Kiki Plataan’ alweer te redden!
Het bij een falende Kantonrechter niet Hoger Beroep kunnen,
omdat de wetgever vindt dat de Rechtbanken anders te veel werk hebben,
gaat in: tegen ELKE CEL van mijn RECHTSGEVOEL.
De wetgever heeft bepaald dat duur betaalde KantonRechters niet voor een bedrag
van €1750,= inzet hoeven te leveren!
Maar met AOW – zonder pensioen – is €1750, = een mega bedrag!
Ik kon dus niet anders dan vele lange nachten Google’n totdat ik de essentiële
argumenten had gevonden.
“Gij zoekt en zult vinden!”
Er is Hoger Beroep aangetekend.
En daar ben ik heel erg dankbaar voor!
Het bizarre vonnis d.d. 11 november 2025 staat verderop in deze tekst, dus een stukje verderop naar onderen.
De Rechtbank Noord Nederland heeft dit vonnis – nog – niet gepubliceerd.
Kortom:
1. > De onaanvaardbare beslaglegging op mijn AOW had allang – per direct –
van tafel gemoeten.
2. > Naast dit alles vind ik het – en is het – absoluut ook onaanvaardbaar dat B&W en de Groninger Gemeenteraad het Ambtenaren Contact Verbod – na 15,5 jaar zonder einddatum – nog steeds niet hebben opgeheven!
************************ JE ONGEKENDE VERMOGENDS *************************
Geschreven door Anthony Robbins.
‘De Kosmos’ legde dit boek – gister !!!! – voor mij klaar in een straatboeken kastje.
************************ PAAS AAN ZET OF ONTSLAG? **********************
11 FEBRUARI 2026
Op verzoek van de Provincie Groningen heeft de heer Simon Sibma een diepgaand
onderzoek gedaan.
Op NOS / link en op RTV Noord stelt CdK René Paas dat hem e.e.a. is ontgaan.
Ik heb CdK René Paas meerdere malen aangesproken.
Met het nadrukkelijke verzoek: om ZIJN inzet omdat de integriteit van B&W Groningen
zwaar in geding was en is.
Hij weigerde – alle keren – mijn nadrukkelijke verzoek om inzet.
-> CdK René Paas mag zich NU alsnog voor mij in gaan zetten.
-> En zorgdragen dat Simon Sibma ook zo’n onderzoek doet bij B&W Groningen en
(TOP) Ambtenaren.
PAAS en IK kennen – meerdere – ernstige STADDOSSIERS die daar om SCHREEUWEN!”
Sjamanic Drum / link
********************** WAAR IS DE ECHTER REKENING? STRAFBAAR ? ***********************
DONDERDAG 12 FEBRUARI 2026
In de 10 centimeter ‘Kiki Plataan’ zaak heeft B&W geweigerd om een gespecificeerde rekening op te vragen bij ROTS MAATWERK BV.
B&W: “De is er niet!”
ER WAS GEEN GESPECIFICEERDE REKENING:
WANT DE WERKZAAMHEDEN ZIJN NIET UITGEVOERD.
Essentiele Basis Vraag:
Is dit een doelbewuste vorm van achterhouden van de officiële – door B&W reeds betaalde – rekening?
En dus strafbaar?
****************************************************************************************************
MAANDAG 9 FEBRUARI 2026
14:00 uur
Er zijn hele spannende ontwikkelingen.
Ik hou u op de hoogte!
**************** IN DE RECHTBANK LIEGEN! STRAFBAAR? *************************
VRIJDAG 6 FEBRUARI 2026.
Dit is de foto van de 10 centimeter kit die ik op 5 januari 2024 heb weggehaald.
Er ontstond een bak water omdat dat bodem rondom de ‘Kiki Plataan ZWAAR is verdicht !!!!
1. IK
> Ik heb alleen het stukje kit nat mijn tenen weggehaald.
2. ROTS MAATWERK TE BRUMMEN.
> De Barrels in de kit – boven mijn tenen, dus naar de bovenkant – komt door de ROTS
kit.
Dat is elders ook al het geval!
3. ONBEKENDE
> EEN ONBEKENDE heeft de snee keurig strak naar beneden verlengd.
*
NAMENS B&W GRONINGEN LOOG AGIN PRANGER INCASSO
TEGEN 3 KANTONRECHTERS Noord Nederland:
1. > dat er GEEN WATER in de bak stond.
2. > dat de 10 centimeter kit is hersteld.
3. > daarvan is geen bewijs overlegd.
4. > dat de nota van Rots Maatwerk door B&W is betaald.
5. > daarvan is geen bewijs overlegd.
Op 22 januari 2026 verklaarde ROTS MAATWERK TE BRUMMEN,
telefonische naar mij persoonlijk:
“In overleg met de Gemeente Groningen is besloten dat de kit
nog niet is hersteld vanwege de KOU!“
Door deze telefonische verklaring maakt ROTSVAST duidelijk dat AGIN PRANGER INCASSO – in opdracht van B&W – OPZETTELIJK tegen de Kantonrechters heeft GELOGEN!
Is het liegen van B&W Groningen tegen Kantonrechters: STRAFBAAR ?
JA, ZEGT GOOGLE AI
Antwoord Google AI / link
************************ GRONINGER GRIFFIER NEGEERT SP ******************************
VRIJDAG 6 FEBRUARI 2026
PERSBERICHT:
SP GRONINGEN wordt genegeerd door de Griffie Groningen.
De SP heeft op – vrijdagmiddag 30 Januari 2026 – een e-mail naar de Gemeenteraad Griffie gestuurd!
Met de vragen over de noodzaak: om te STOPPEN van het Ambtenaren Contact Verbod en STOPPEN van beslaglegging op mijn AOW.
Gisterochtend vroeg – 5 Februari 2026 – meldde een Medewerkster van de Griffie mij telefonisch dat deze SP e-mail GISTEROCHTEND zal worden besproken in het Wekelijkse Griffie Overleg.
Ik zou om 15:00 uur kunnen bellen wat de stand van zaken was.
Op drie verschillende tijden (15:00, 15:11, 15:19 uur) werd de telefoon niet opgenomen.
Pas de vier keer (veel later) werd de voicemail er afgehaald en kreeg ik te horen dat
de SP e-mail NIET IS VOORGELEGD AAN DE GRIFFIE!
Maar dat de SP email is is voorgelegd aan Senior Griffier Josien Spier.
Dat deze had verwezen naar B&W.
DAT IS 100% ONTERECHT!
> WANT DE SP NEEMT HET VOOR MIJ OP!
> DE SP HEEFT RECHT OP INZET VAN DE GRIFFIE
> DE SP VERWACHT ANTWOORD!
> EN IK DUS OOK!
*
GOOGLE AI Schrijft:
Een gemeenteraadsfractie kan via email een vraag aan de griffier stellen,
waarna de griffier de vraag registreert en zorgt voor behandeling en eventuele
beantwoording door het college of de raad;
de e-mail wordt in beginsel openbaar en opgenomen in de lijst van ingekomen stukken.
******************************************************
WOENSDAG 28 JANUARI 2026
‘HET GOUDEN 10 Centimeter KIT VONNIS‘
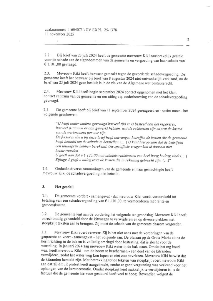
11 november 2026.
Het moment van door mij weghalen van de 10 cm kit bij de ‘Kiki Plataan’ Grote Markt Groningen is het al bijna 2 jaar geleden.
5 Januari 2024 – weghalen 10 centimeter kit.
11 november 2025 – vonnis Kantonrechtbank.
Vlak voor Kerst 2025 – beslaglegging op mijn AOW.
Wegens – verdichting van de bewortelinggrond – van de ‘Kiki Plataan’ is het 100% ongewenst dat de 10 cm KIT er weer wordt ingelegd.
Omdat dan weer de situatie ontstaat dat water niet uit de stambak wegloopt.
Nog steeds is de 10 centimeter kit – dus al 2 jaar – NIET HERSTELD.
Aannemer ROTS MAATWERK te Brummen stelt dat het te koud is.
*
Bij deze gerechtelijke Kantonprocedure zijn 3 Kantonrechters van de Rechtbank Noord Nederland betrokken.
Er waren 2 Rechtzittingen en 1 definitieve uitspraak zonder zitting..
De 3e Senior Kantonrechter – Mevrouw mr. R. Bootsma – er de definitieve klap op gegeven.
De 2x – door mij gedane wrakingsverzoeken zijn afgewezen.
B&W weigerde een comparitiezitting.
Hoger Beroep is onmogelijk omdat de begin vordering €1101,= onder appel grens van €1750 is om in beroep te mogen gaan.
****************************************
Goud
10 cm x 1 cm x 1 mm GOUD is goedkoper dan ’10 CENTIMETER Grote Markt KIT’
Eenvoudige Crematie
En zelfs een eenvoudige crematie / link is (iets) goedkoper.
Oprechte Dank voor Gratis 30 jaar inzet is goedkoper.
Een Bouquet Gemengde Bio Bloemen, twee Bossche Bollen en een lollige vakantie naar een zonninge locatie/ link, als dank voor de gratis stevige inzet, ook goedkoper
************************************
B&W Groningen en AGIN Pranger Incasso Assen hebben de claim – van mijn onrechtmatig vernieling van Gemeentelijk eigendom, mijn bedoeling was het redden van de ‘Kiki Plataan’ – inmiddels verhoogd tot € 2.523,24.
– AGIN Gerechtsdeurwaarder Assen heeft voor € is 2.523,24 beslag gelegd op mijn AOW.
*
ROTS MAATWERK te Brummen.
ik heb de indruk dat B&W met ROTS MAATWERK te Brummen een contract heeft, dat bepaalt dat alleen ROTS MAATWERK onderhoud en herstel werkzaamheden mag doen.
Daardoor hebben Groninger aannemers hebben het nakijken.
Daardoor heb ik – tot op heden – het nakijken / link GOOGLE AI
B&W Groningen heeft mij een extreem dure herstelkosten voor 10 centimeter kit geclaimd.
1. Offerte Rots Maatwerk te Brummen € 726,=.
Er is – tot op heden – geen gespecificeerde rekening aan mij voor gelegd.
Een ambtenaar weigerde dit te regelen.
> Sinds 5 januari 2024 is de 10 centimeter kit niet hersteld.
> Ik mag geen contact hebben met de Bomenafdeling
Het blijft dus – deskundig – onduidelijk ik gelijk heb of de kit er uit moet of niet.
2. Er is alleen een offerte van de Milieudienst Groningen: €250,=
> Voor 3 uur schoonmaken van wat stoepkrijt.
> Tot op heden is er geen gespecificeerde rekening.
Dezelfde ambtenaar weigerde ook deze offerte / rekening te specificeren.
3. B&W heeft voor administratiekosten € 125,= gerekend.
Met de mededeling dat als ik direct betaalde en ik niet in discussie ging over de nota,
dat ik 50 % korting kreeg op de administratie kosten.
Navraag doen over de offertes kostte dus: €62,50.
De Rechtbank gaat uit van vernieling van eigendom van de Gemeente Groningen..
De Rechtbank deelt niet mijn visie dat de ‘Kiki Plataan’ in NOOD was.
En dat ik – Kosmisch VERPLICHT BEN – om haar alweer DIRECT te redden.
Vanwege de bak water rondom haar stamvoet.
In de winter!
De ‘Kiki Plataan’: is ons aller menselijk eigendom.
De titel : Gemeente Groningen is slechts een juridisch opgetuigd bouwsel.
Niet iedereen medeverantwoordelijkheid te gunnen is: Onmenselijk en Harteloos.
Ik vind het onredelijk en onaanvaardbaar dat Burgemeester Roelien Kamminga wethoudster Mirjam Wijnja (Financiën) – terwijl Groninger kinderen in armoede leven,
en sommigen zelfs niet te eten hebben – dat zij beiden zich uitleven in dure juridische procedures tegen mij.
Op mijn kosten en op kosten van alle Stadjers!
Ook op kosten van de armen!
Daarom heb IK heb B&W gevraagd om PER DIRECT te BESLUITEN
1. PER DIRECT:
Het ruim 15 jaar durende Ambtenaar Contact Verbod: OP TE HEFFEN.
Zodat PER DIRECT normale omgang met iedereen weer mogelijk is.
2. PER DIRECT:
Beslaglegging op MIJN AOW OP TE HEFFEN.
3. PER DIRECT:
Teruggave van de de reeds gevorderde financiën op mijn AOW.
Omdat:
> B&W – sinds 2010 – niet bereid is geweest om het
– al 15 jaar durende eenzijdig –
opgelegde Ambtenaren Contact Verbod op te heffen.
> B&W zelfs externe mediation – al die jaren tot heden – niet honoreerden.
> B&W – sinds Kerst 2025 – 3x heeft geprobeerd dat ik notabene in gesprek
juist met de ambtenaar die mij in deze beslaglegging ellende heeft getrokken.
> Ik heb meerde malen aangegeven dat ik weiger om met een van de twee
gespreksambtenaren in gesprek te gaan die ambtenaar weigerde
om gespecificeerde rekeningen aan te leveren.
Waardoor de hele situatie chronisch niet opgelost wordt.
> Ik betaal niet voor offertes en niet geleverde werkzaamheden.
Wel vorderen maar niet leveren schijnt verrijking / link te heten.
> Het is inmiddels duidelijk dat externe mediation ook geen zin heeft,
nu B&W al jarenlang heeft geweigerd om het Ambtenaren Contact Verbod op te heffen.
> Zelfs na 1,5 jaar van 100% afwezigheid wegens ziekte,
ging het ambtenaren Contact verbod er weer vol op.
***************
Analoog:
> Michiel Jellema / OOGTV / link en EenVandaag / link
Sociaal advocaten slaan opnieuw alarm over het ‘beschikkingsvrij’ (beschikkingsarm)
werken bij de gemeente Groningen, oftewel het niet op papier vastleggen of iemand
recht heeft op zorg.
EenVandaag bracht dinsdag het verhaal van Michiel,
die bij het zoeken naar hulp voor een vriend zo vastliep dat hij werd opgepakt
door een arrestatieteam.
> Riet Bell / Maasgouw link
De verbod situatie is in 2010 door de Nationale Ombuds is opgelost.
Persbericht:
De gemeente Maasgouw wil met Riet Bell praten en nodigt haar uit voor een gesprek.
De milieu-activiste werd eerder in het gelijk gesteld door de Nationale Ombudsman
in haar zaak tegen de gemeente Maasgouw.
Die had de vrouw uit Linne begin vorig jaar een contactverbod opgelegd,
omdat ze te veel en te vaak vragen stelde.
Voortaan moest ze vragen schriftelijk indienen via een door de gemeente aangewezen
contactpersoon.
Volgens de Nationale Ombudsman was dat overleg té eenzijdig.
Maasgouw zegt met Bell te willen praten om de kwestie op te lossen.
De Groninger Ombuds heeft deze inzet – nog steeds niet geleverd.
> Wil Roode / FNV link 7 maand Stadhuisverbod Amstelveen
FNV Rechtszaak wegens geen hoor en wederhoor.
Na 3 uur Rechtszitting : Externe Mediation
Rechtbank moet nog uitspraak doen.
*********************************************

- Ik heb op 5 januari 2024 – direct naast mijn laars 10 centimeter – kit weggehaald
- Iemand anders- mij onbekend – heeft naar beneden de kit- snee verlengd.
- U kunt zien dat aan de bovenzijde de kit al op drie plekken loslaat.
* ********************** VONNIS 11 NOVEMBER 2026 ****************************
HIER IS HET GOUDEN 10 CENTIMETER KIT VONNIS
Pagina 6 pagina’s






**** NU! STOP: BESLAGLEGGING AOW & AMBTENAREN CONTACT VERBOD **************
DINSDAG 27 JANUARI 2026
OP BASIS VAN MEERDERE ZWAARWEGENDE REDENDEN
HEB IK AANGEGEVEN DAT:
B&W PER DIRECT MOET BESLUITEN DAT:
1.
HET 15,5 JAAR DURENDE REGIME
VAN HET ONRECHTMATIGE AMBTENAREN CONTACT VERBOD
2.
DAT HET BESLAG OP MIJN AOW PER DIRECT WORDT OPGEHEVEN.
3.
DAT DE REEDS BESLAG GELEGDE FINANCIEN PER DIRECT WORDT TERUGBETAAALD.
Dat, indien daar geen gehoor aan wordt gegeven, door mij de juridische strijd van het begin tot het eind zal worden gevoerd.
Dat ik daarvoor reeds een mij bekende advocaat heb benaderd.
Ik ga er vanuit ga dat er gehoor wordt gegeven aan redelijkheid en dat ik hem niet zal hoeven te activeren.
Het procederen op basis van algemene STADJERSGELDEN en mijn AOW afgelopen moet zijn.
Er is armoede in de Stad Groningen!
Ik heb inmiddels uren en uren en uren en besteed aan het uitzoeken van juridische gronden.
Ik kan u verzekeren dat er een veelheid is van gemiskleun.
Zodat u zelf kunt meelezen, zal ik een dezer dagen het ‘Gouden Kit Vonnis’ – op deze website publiceren:
Over B&W’s vordering van €2,523.24 voor 10 centimeter kit bij de Kiki Plataan en wat stoepkrijt.
De Rechtbank Noord Nederland heeft het vonnis zelf niet gepubliceerd.
***********************************************************************
MAANDAG 26 JANUARI 2026
Er is afgelopen week veel gebeurd.
Het is mij overduidelijk dat er een lijst is van Intelligente Kritische Burgers die op onheuse wijze door de B&W Groningen, zelfs jarenlang worden benadeeld.
De tijd is rijp dat Commissaris van de Koning René Paas INGRIJPT.
In ieder geval grijp ik in:
“DE NAALD GAAT IN DE BALLON VAN BESTUURLIJK GRONINGEN!“
Naast mijn zaak:
1. Burgemeester Peter Rehwinkel oordeelde in 2010: ONOPLOSBAAR / link
Alles is oplosbaar, als je maar wil.
Al ruim 15 jaar wil B&W geen externe mediation!
De gespreksvoorstellen die B&W onlangs deed, zijn absoluut onaanvaardbaar!
Ik wil per direct op heffing van alle verboden tegen mij en op heffing van het beslag en teruggave van mijn AOW!
2. Michiel Jellema / OOGTV link
Binnenlands Bestuur / link
Een ambtenaar blijkt aangifte tegen de heer Michiel Jellema te hebben gedaan.
Notabene wegens stalking, terwijl hij om info vroeg.
OM heeft de aangifte geseponeerd.
Op 23 december 2025 is er zelfs politieoptreden geweest.
3. Leo Nederpel / Haren de Krant link
Ook de heer Leo Nederpel heeft tot op heden – van Burgemeester Roelien Kamminga – niet gekregen wat hem wel door een vorige Harener Burgemeester is toegezegd.
4. B&W’s | Chronische Weigering met -a al jarenlang – zeer ernstige gevolgen.
Waarom weiger B&W Groningen de onderstaande zeer ernstige problemen snel en netjes op te lossen:
> Identiteitsverwisseling / Privé gegevens zijn bij mij bekend.
> Verongelukte Groninger / Is ADMINISTRATIEF weer levend.
5. Er is een Oudere Actieve Vrijwilliger/ link die al Sinds Juni 2025 op twee peukenzuigers wacht.
Waarom heeft Wethoudster Mirjam Wijnja (wethoudster afval) / link deze wel toegezegd, maar niet uitgevoerd?
****************************************************
DINSDAG 20 JANUARI 2026
21:50 UUR
Vorige week heb ik tijdens 3 minuten inspreken in een raadscommissie over het Bomenplan tot 2075/ link Burgemeester Roelien Kamminga
haar een medaille gegeven voor haar inzet
als de allereerste Groninger Burgemeester die beslag legt op mij AOW: wegens tien centimeter kit en wat stoepkrijt: €2.523,24.
Vandaag staat SPELD in de Volkskrant.
“De Speld: Nobelprijscomité introduceert Nobelprijs voor Kleinzielig Autocratisch Dementerend Narcisme
Het Noorse Nobelprijscomité heeft een nieuwe prijs in het leven geroepen voor opmerkelijke prestaties in Kleinzielig Autocratisch Dementerend Narcisme.
Het doel van de prijs is om een representatieve prijs te hebben voor de tijdgeest van vandaag.
Het Nobelprijscomité krijgt al langer kritiek dat de prijs voor Vrede niet aan de juiste persoon wordt toegekend en te veel handelt uit ideologische overwegingen. Het comité voelt zich genoodzaakt deels tegemoet te komen aan die kritiek met deze nieuwe prijs. ‘Er worden momenteel ook dermate grootse prestaties geleverd ter bevordering van kleinzielig autocratisch dementerend narcisme, dat wij het urgent vinden om daar deze gewichtige prijs aan toe te kennen.’
De leden van het comité worden gekozen door het Noorse parlement, dat daarvoor op zoek gaat naar experts op het gebied van kleinzieligheid, autocratie, dementie en narcisme. ‘Weinig mensen blinken uit in al deze gebieden tegelijk, maar we zijn ervan overtuigd dat we met een aantal van deze experts een waardige winnaar kunnen nomineren.’
Critici vinden dat de nieuwe prijs niet duidelijk genoeg is omschreven. Er wordt gepleit voor het woord ‘oranje’, ‘obees’ en ‘kwaadaardig’ in de titel van de prijs. Nobelkenner Bert Bokhoven: ‘Anders maken wel heel veel mensen kans natuurlijk.’
Waar de andere Nobelprijzen gepaard gaan met een bedrag van een miljoen euro, is de nieuwe Nobelprijs uniek door de grootte van de medaille: ‘Kosten noch moeite worden gespaard om de beste, grootste, meest blinkende medaille te ontwerpen voor de winnaar.’
Het is onduidelijk wie er kans maken op de prestigieuze prijs.
MAANDAG 19 JANUARI 2026
20:28 uur
De 150 jaar Oude Kastanje bij het Pelsterhofje is gisteravond omgevallen.
Je kon hem al in de Herestraat zien.
Hij kwam boven de poort uit.
Ik ging niet vaak, maar zo nu en dan ging ik daar even kijken.
Dat het richting het einde ging, was voor iedereen duidelijk.
Ik vond het uiteindelijk eng, maar mij werd verzekerd dat hij goed in de gaten werd gehouden.

Zijn riante fenomenale aura / sfeer
bepaalde voor mij de omgeving buiten het hofje.
Ik durfde vandaag niet te gaan kijken.
Het is zo’n drama met Burgemeester Roelien Kamminga en mij,
wegens haar absurde actie van beslaglegging op mijn AOW
voor 10 centimeter kit en wat stoepkrijt (€ 2.523,24),
dat ik beter op een ander moment kan gaan condoleren.
OOGTV / link
************
MAANDAG 19 JANUARI 2026
20;29 uur
De Rechtbank Noord Nederland heeft de advocaten van BOUT / link gelijk gegeven.
Volgens de Rechter faalt B&W in haar Participatie.
Dat is zeer opmerkelijk gegeven, aangezien wethoudster Mirjam Wijnja (GroenLinks) / link expliciet vernieuwende democratie en financiën in haar pakket heeft.
Omdat elke Burgemeester over Openbare Orde en Veiligheid gaat is het zeer terecht dat belanghebbende bewoners Burgemeester Roelien Kamminga hebben benaderd.
Maar is het ongepast en onprofessioneel, en op ongewenste wijze bijzonder,
dat deze belanghebbende omwonenden geen contact hebben kunnen krijgen met Burgemeester Roelien Kamminga (VVD) / link.
Al met al lijkt erop alsof wethoudster Inge Jongman (CU) / link – in dit geval en zeer onterecht – alleen aan de touwtjes trekt.
(*)
Wethoudster Mirjam Wijnja blijkt als Beste Bestuurder 2025 te zijn voorgedragen bij Binnenlands Bestuur / link
************************************************************
ZATERDAG 17 JANUARI 2026
15:10 uur
Open brief:
Aan de Minister van Binnenlandse Zaken,
U bent verantwoordelijk voor elke Burgemeester.
In die zin bent u dus ook verantwoordelijk voor integriteit van handelen en dus ook bij wangedrag.
Zojuist ontving ik van een: Top Ambtenaar (T) een brief namens B&W.
Met een uitnodiging voor een gesprek met alleen: Twee Ambtenaren (A en B)
Nu lijkt dat een verschuiving ten positieve.
Het tegendeel is waar.
1. Burgmeester Roelien Kamminga faalt op onaanvaardbare wijze.
Burgemeester Roelien Kamminga heeft tot op heden geweigerd om op mijn meerdere verzoeken in te gaan: om met haar in gesprek te gaan.
Als Burgemeester Roelien Kamminga zich goed had laten informeren,
Als zij kennis had genomen van mijn klachten over diverse zaken,
Als zij dus dossier kennis had gehad,
dan wist zij 100% dat deze Ambtenaren uitnodiging op onaanvaardbare wijze:
OLIE OP HET VUUR IS!
2. De Top Ambtenaar (T) faalt al jaren.
Het is uitgerekend deze betreffende Top Ambtenaar (T) die al jaren lang de normale gang van zaken blokkeert.
Kortom, juist en mede door de betreffende Top Ambtenaar (T) is het mogelijk dat ik inmiddels al ruim 15 jaar met geen enkele ambtenaar mag hebben:
> Zonder beleid: over de enige contact ambtenaar.
> Zonder hoor en wederhoor: bij diverse blokkerende besluiten TEGEN MIJ!
Sterker:
Uitgerekend deze Top Ambtenaar (T) is – tevens jarenlang en zeer ongewenst – de enige contactambtenaar geweest.
Dat heeft mij uitermate beschadigd, mede omdat mijn werkzaamheden extreem werden geblokkeerd.
3. ‘Een Gespreks – Ambtenaar.’ (A) faalt al jaren.
Het is intern alom bekend:
bij B&W,
bij veel ‘straat’ ambtenaren,
bij alle telefonisten van 14050,
bij de Gemeenteraadsgriffier,
bij Gemeenteraadsleden
bij de Gemeentesecretaris
– dat ik al jarenlang weiger om met ‘Deze Gespreks Ambtenaar (A) ‘ contact te hebben.
Wegens chronisch wangedrag van DEZE Ambtenaar (A): door het blokkeren van mijn werkzaamheden!
Sterker: Door de nalatige inzet van Ambtenaar (A) heeft de beslaglegging op mijn AOW heeft kunnen plaatsvinden.
Voor 10 centimeter kit en wat stoepkrijt: € 2.524,=
*
Samenvatting:
1.
Dat Burgemeester Roelien Kamminga en B&W,
UITGEREKEND via Ambtenaar (T) een gesprek aanbiedt,
en alleen met deze Ambtenaren A en B is:
diep vernederend, diep mishandelend , diep treiterend, diep beschadigend en 100% onprofessioneel.
Top Ambtenaar (T) is al jaren op de hoogte van mijn visie over zijn functioneren.
En over van mijn weigering van contact met Ambtenaar (A), met redenen omkleed.
Ik vind het ongepast dat hij de uitnodigende rol oppakt.
Deze rol treft de Burgemeester en de Gemeentesecretaris.
En wellicht de Gemeentegriffier.
Ambtenaar (A) weet – immers – zelf ook al al jaren dat ik geen contact wens.
Lokale Ombuds / link is zelfs al jaren bekend met het gehele probleem.
*
Dat uitgerekend DEZE Ambtenaar (A) zich toch in het gesprek mengt,
laat 100% zien dat Ambtenaar (A)
geen enkel inzicht heeft in de gang van zaken.
Immers juist DEZE Ambtenaar (A) heeft het proces van oplossing – de afgelopen jaren – dat is jarenlang geblokkeerd.
*
Dat Burgemeester Roelien Kamminga zelf nog steeds niet deze onfrisse en zeer ernstige gang van zaken oppakt,
toont mijns inziens aan dat zij niet de communicatie vaardigheden heeft die IK en Stadjers van een professionele Burgemeester mogen, kunnen en moeten verwachten.
Ik geef al ruim 15 jaar aan dat externe mediation een mogelijkheid is.
Dat is tot op heden geweigerd en geblokkeerd.
Vanwege de AVG zijn de namen van betrokken ambtenaren door mij omgezet naar A, B. T.
Graag uw inzet.
Mevrouw Kiki
Voor inzicht in communicatie vaardigheden:
Youtube / nl
De Wonderjaren
Stille Face Experiment.
Leerzaam / link
****************************************************8**
VRIJDAG 16 JANUARI 2026
HEEL ERG GRAAG UITLEG: VAN EEN VERDWAALDE HERSENCEL.
Mevrouw Kiki:
“Ik zet mij in voor het behoud van Bomen!
Ik vecht niet voor Bomen.
Bij vechten voor …. heb je altijd een vijand.
Ik heb geen vijand.
De Gemeente Groningen ziet mij als vijand!”
Kijk wat er gebeurd,
als je niet vecht/ link David Carradine en als je wel vecht.
Wie is de winnaar en wie de verliezer?
**************************************************************************************
Is er 1 Verdwaalde Hersencel die mij kan uitleggen wat voor guurs er in de Stad Groningen gebeurd?
Ik vind dat ik een bloemetje verdien.
1 1 1 1 1.
Griekse bootvluchtelingen (= mensenreders / link) worden vrijgesproken!
Het is onfris om mensen te laten versuipen.
2 2 2 2 2.
Ex – Burgemeester Koen Schuiling: is 10x goedkoper uit > Zijn Boete: Slechts €250,= (STRAFRECHT)
Ik word voor mijn ‘Kiki Boom- reddingsactie’ maar liefst 10x strenger veroordeeld dan Schuiling met zijn frapatsen / link
Van:
Met 1 hand autorijden, inhalen naast een Vrachtwagen met buikpijn en de broek los en de noodzaak tot plassen.
Bovendien kan Schuiling wel in Hoger Beroep (Strafrecht).
En ik niet (Kantonrecht)!
Oude theedoek in de auto / Kees van Kooten en Wim de Bie – link.
3 3 3 3 3.
De Rechtbank Noord Nederland heeft mij veroordeeld > Vonnis: €2.523,24
a.
Ik heb – op 5 januari 2024 dat is 2 jaar geleden! – 10 centimeter weggehaald:
bij enige Monumentale Boom: ‘Kiki Plataan’ op de Grote Markt in Groningen.
ZIJ versoop in de bak water rond haar stam.
Burgemeester Kammina c.s. ontkennen.
Ik heb van Burgmeester Koen Schuiling (B&W) GEEN Boete gehad!
Ik heb mij dus niet strafrechtelijk kunnen weren.
b.
Ik kreeg – via Schuiling’s B&W – alleen de ‘rekening‘ van Rots Maatwerk BV te Brummen.
Maar deze rekening oogt als: EEN OFFERTE!
1. > Een offerte (726,= voor 10 cm kit herstel is niet vorderbaar.
2. > Deze ROTS rekening zou door B&W betaald zijn! => Datum onbekend!
3. > Tegen EEN rekening kan geen bezwaar worden gemaakt.
Burgemeester Koen Schuiling wees mijn bezwaar dus af.
4. > Deze ROTS rekening is: niet nader gespecificeerd.
5. > Ondanks deze ‘betaalde ? ROTS rekening’
is de 10 centimeter kit nog steeds niet hersteld.
c..
Maar:
Volgens de Kantonrechter heb ik onrechtmatig 10 centimeter kit verwijderd => dat is schade toebrengen!
Bovendien oordeelt de Kantonrechter dat de ‘Kiki Plataan’ niet mijn eigendom is.
De Kantonrechter weigerde zich ook te buigen over mijn inzet om alweer de in nood zijnde ‘Kiki Plataan’ te moeten reden!
d.
IK KAN NIET IN HOGER BEROEP!
Omdat het begin bedrag (primaire) bedrag (€ 1101,=) te laag is, kan ik niet in Hoger Beroep.
Er blijkt een grens te zijn om in Hoger Beroep te mogen: €1750,=
Ik had dus niet slechts 10 centimeter kit moeten weghalen.
Ik had de hele tent stevig moeten verbouwen om op een hoger schade bedrag uit te komen.
( De appelgrens houdt in dat je alleen in hoger beroep kan gaan als de vordering
waarover de rechter in eerste aanleg had te oordelen meer dan € 1.750 bedraagt.
De appelgrens is dus € 1.750.
Dit staat in artikel 332 lid 1 Rv.2 mei 2022)
4 4 4 4 4 .
Burgemeester Roelien Kamminga (VVD) – en haar (politieke) medewerkers – hebben het zelfs geflikt om BESLAG te leggen op mijn AOW.
Voor het bedrag van inmiddels: €2.523,24.
5 5 5 5 5 .
Wethoudster Carine Bloemhoff (GroenLinks) / link gaf vanochtend via haar secretaresse aan dat zij weigert om met mij in geprek te gaan: Over de veranderingen bij de A-Kerkhof en de Vismarkt: € 5.000.000,=
En veranderingen hebben voor mij onbekend effect – bij de Aa-Kerk – nabij 4 door mij gerede monumentale Bomen.
OOGTV – link
€ 5.000.0000 voor wat stenen, wat licht en een paar Bomen.
Is dat fatsoenlijk berekend?
In de gemeente Groningen leven duizenden huishoudens met een laag inkomen,
waaronder 7.400 kinderen, waarvan een deel langdurig (3.600).
Recente cijfers laten zien dat het percentage huishoudens met een laag inkomen (10,4%) en kinderen in armoede (6,6% langdurig) in de gemeente hoog is, met een stijging in 2025 waardoor Groningen op de lijst van armere gemeenten komt, en bij eenoudergezinnen komt armoede het vaakst voor.
6 6 6 6 6 6 . Kerklaan van Veilig naar Levensgevaarlijk
Op tal van punten is de
VERSMALLING / link EN VERANDERING
van de NU ZEER VEILIGE DRUKKE BREDE KERKLAAN / link
op veel punten en heel simpel aan te tonen LEVENSGEVAARLIJK geworden.
En behoorlijk ook!
IK NOEM NU SLECHTS ENKELE PUNTEN:
> Het is geen optische versmalling maar HET IS EEN een ECHTE versmalling.
> De valse B&W impressie is een doortrapte verkoop truc om de miljoenen
binnen te harken.
Lage auto’s, brede stoepen weinig fietsers, weinig wanderlaars . Grote Bomen ….
Geen normale fatsoenlijke ondernemer
zou met deze €1,7 miljoenen Impressie
met voor ‘Het Op Termijn Beeld: “over 30 jaar” aan u kunnen /mogen verkopen.
Zelfs – of juist 30 jaar – als de Bomen dan pas weer groot zijn,
ziet de Kerklaan er nog steedsuit volgens de impressie van de ‘B&W / Gemeenteraad
U wordt knollen voor zure citroen verkocht:
U, wijkbewoners, en aan de International Students…..
In mijn visie:
Met slechts her en der opknappen komt men er ook: Veilig, Goed en Efficiënt.
De stoepen hebben nu zeer stevige tegels die er al jaren: goed en vlak in liggen.
Wat deze beide heren ook beweren, over wat zij mooi vinden … / link.
Gerard Poll, voorzitter van de buurtvereniging, zegt:
“Omdat verkeer van vrachtwagens, fietsers en auto’s allemaal door elkaar liep
in een relatief smalle (!) straat,
was het soms behoorlijk onoverzichtelijk.”
Wat deze voorzitter zegt is FEITELIJK ONJUIST.
Door de nu brede weg – voor de veeeelheid aan fietsers- smaller te maken komt die veeeelheid aan fietsers juist met elkaar in conflict.
OOK IS DE STRAAT nu JUIST VEILIGER EN OVERZICHTELIJKER: DOOR DE LAGERE AUTO’S!
Deze voorzitter verbood mij om deel te nemen aan het buurtoverleg.
Terwijl ik notabene al ruim 50 jaar direct om de hoek van de Kerklaan woon.
Als u goed naar hun foto kijkt, dan ziet u dat verhoogde parkeerplaats,
rechts achter bij dat rood /wit paaltje,
veel breder is geworden door: de Nieuwe Stoep Ruimte.
De stoep levert in!
De smallere STOEPparkeerplaatsen worden voor HOGE DURE AUTO’s:
DIE ZIJN VEEL BREEDER EN HOGER dan de oudere goedkopere en kleinere auto’s.
Ook de nu al smalle stoep verslechtert voor de wandelaars.
Het en der blijkt er ineens een EXTREEM SCHUINE GOOT te zijn.
Voor fietsers en overstekers OOK LEVENSGEVAARLIJK!
Wat deze persoon ook beweert, over wat noodzakelijk is… / link.
1. > NU zij er BREDE en VEILIGE STOEPEN.
2. > GEEN: HOGE DURE GROTE auto’s op de VERHOOGDE stoepen:
die de RUIMTE van de stoepen afpakken!
3. > Nu kun je VEILIG OVER de lage auto’s heen kijken!
DAT geeft een veilig en goed ruimtelijk beeld.
Wethouder Philips Broeksma en Burgmeester Roelien Kamminga weigeren beiden om tafel te gaan!

WOENSDAG 14 JANUARI 2026
VANMIDDAG OM 16.30 UUR IS
ER 3 MINUTEN INSPREKEN OVER: EEN BOMENPLAN/ link.
Dat Bomenplan moet voor de komende 50 jaar gelden.
Het is zoveel aan info dat dat een hele Boom is.
De zogenaamde ‘zorgvuldigheid’ druipt er vanaf.
De complimenten van diverse onbekenden ook.
“Mooie woorden, vet spek!”
Want:
Dierbare Stadjers, ga in de praktijk kijken.
De Bomen in de Nieuwe Ebbingestraat en in de Rode Weeshuisstraat staan daar:
met onbeschermde Boom spiegels !!!
Een zeer snel oog zag niets over de ernstige Bodemverdichting door MEGA Noorderzon festival, in ons geliefd: Noorderplantsoen.
Wethoudster Kirsten de Wrede/ link schijnt – volgens de pers – te zijn vertrokken.
Maar op de Gemeentelijke website is zij nog verantwoordelijk….
Ik heb haar proberen aan te spreken over de idioterie rond de 10 cm kit bij de ‘Kiki Plataan’.
Dat werd 1 minutte en 0,0 niks.
Wethoudster Mirjam Wijnja / link leeft zich ook uit op meerdere Bomen.
Zoals bijvoorbeeld dat loeier van een wedstrijdbord:
Notabene in de aura van bij de prachtige Beuk bij de Nieuwe Kerk.
De wedstrijd is allang voor bij. het stuk wedstrijd vuil staat er nog.
Ook de Oliebollen kraam moest en zou onder de ‘Kiki Plataan’.
*******************************************************************
Oproepkracht in dienst van de Natuur/ link – 04 juni 1996 – DvhN

*****************************************************************************
Groningen Stad 7 Januari 2026
Perplexity AI maakt helder duidelijk dat zowel B&W als AGIN PRANGER INCASSO
beiden zwaar in de fout te gegaan.
Door het BIJ MIJ 3 EXTREEM HOGE – ONREDELIJKE – schade bedragen te claimen.
Het is ook te bizar voor woorden dat de Kantonsrechtbank Noord Nederland daar 100% in is meegegaan.
Met: Rechtbank en Incasso kosten hoog opgelopen tot inmiddels: €2.523,24
Met beslaglegging: Door AGIN Incasso van mijn AOW.
De Basis:
1. Rots Maatwerk te Brummen: 10 centimeter kit – > €726,=
Geen herstel, wel claim.
2. Milieudienst: Verwijderen van wat stoepkrijt -> €250,=
Drie uur!
Dat uurloon is meer dan 80,= per uur.
3. Administratiekosten -> €125,=
——————————————————
Totaal: € 1101,=
LET OP !!!!!
B&W en AGIN PRANGER INCASSO en de Kantonrechter hebben mij nog verder klem gezet.
Dit bedrag € 1101,= is TE LAAG om in Hoger Beroep te mogen!
Die grens is: € 1.750,=
Ook dat is een schandalige gang van zaken/ Link Perplexity.
——————————————————–
****
Perplexity
Ja, dat klopt. Zowel het college van Burgemeester en Wethouders (B&W) als een incassobureau zoals AGIN Pranger moeten zich houden aan de wettelijke regels
én aan het beginsel van redelijkheid en billijkheid:
bij het claimen van schadebedragen.
Juridisch kader
- In het Nederlandse recht geldt dat partijen zich tegenover elkaar moeten gedragen naar redelijkheid en billijkheid, ook bij het vorderen van schade en kosten.
- Dat betekent dat een schadebedrag niet onnodig hoog, onrealistisch of onvoldoende onderbouwd mag zijn.
Voor B&W (gemeente)
- Ook overheden moeten hun bevoegdheden zorgvuldig en redelijk uitoefenen;
hun besluiten kunnen door een rechter (!) worden getoetst op redelijkheid en evenredigheid. - Als een gemeente schade verhaalt, moet zij kunnen uitleggen waar het bedrag op is gebaseerd en waarom dat redelijk is.
Voor AGIN Pranger / incassobureaus
- Incassobureaus en gerechtsdeurwaarders zijn gebonden aan wet- en regelgeving, onder andere over de hoogte van incassokosten en de manier van innen.
- De gevorderde incassokosten en overige schadeposten moeten in verhouding staan tot de oorspronkelijke vordering en voldoen aan wettelijke (of contractuele) normen.
Praktische gevolgen voor u
U mag vragen om een specificatie en onderbouwing van alle schade- en kostenposten.
******
AGIN Pranger Incasso voert opdrachten uit voor opdrachtgevers zoals de gemeente Groningen (B&W) en heeft de opdracht aangenomen om een vordering te innen;
het kantoor is primair verantwoordelijk voor het innen van de claim,
niet voor het beoordelen van de redelijkheid van de oorspronkelijke schadeclaim zelf.
Hoewel een incassobureau wel zorgvuldigheid moet betrachten bij het uitvoeren,
en jij als schuldenaar bezwaar kunt maken tegen de vordering,
ook al is de appelgrens van €1750 nog niet bereikt.
Het is mogelijk dat AGIN Pranger in de fout gaat
als de claim evident onredelijk is
en
zij dit onvoldoende hebben onderzocht
of
als de kosten buitenproportioneel zijn.
Wat je kunt doen:
- Dien een schriftelijk bezwaar in bij AGIN Pranger:
Meld dat je de claim onredelijk vindt, met de specifieke punten (10 cm kit, stoepkrijt, etc.). - Vraag om een onderbouwing:
AGIN Pranger moet de vordering van B&W goedkeuren en kan de kosten niet zomaar verhogen; vraag om de originele specificatie van de schade en de verhaalskosten. - Neem contact op met de gemeente:
Spreek met de gemeente Groningen (afdeling waar de claim vandaan komt) over de onredelijkheid van de schadevergoeding. - Schakel Juridische Hulp in:
Overweeg een gratis juridisch spreekuur (bv. bij het Juridisch Loket) om te bepalen of de vordering onrechtmatig is, zelfs als je niet in hoger beroep kunt.
De kosten die AGIN Pranger rekent, zijn incassokosten die ook betwist kunnen worden, zegt deze pagina van de Rijksoverheid.
Kortom:
AGIN Pranger moet de opdracht uitvoeren, maar moet wel zorgvuldig handelen.
Als de claim echt zo bizar is, is het de vraag of zij als professionele partij (!)
deze zonder kritische blik (!) hadden moeten accepteren,
zeker als het gaat om buitenproportionele kosten (!) die bovenop de oorspronkelijke schade komen, aldus de Rijksoverheid over incassokosten.
***********************************************************************************************************
Groningen 6 januari 2026
Gister was er een Nieuwjaars Receptie bij de Groninger Provincie.
Ik ging daar heen omdat ik – nadrukkelijk – vind dat:
1. Na ruim 15 jaar een Ambtenaren Contact Verbod – zonder beleid!
2. De beslaglegging door Burgemeester Roelien Kamminga,
op mijn AOW
wegens verwijdering van slechts 10 centimeter kit en wat stoepkrijt,
De Statenleden nu aan de beurt zijn om het extreem uit de hand lopende probleem op te lossen, door Commissaris van de Koning – René Paas – op te duwen om
de diverse lang lopende – onredelijke – situaties: NU MAAR EENS OP TE LOSSEN!
Maar, ondanks mijn zeer oprechte poging, liep het gister – tussen mij en Paas – niet goed af.
Daar waar ik hoopte op een heel kort professioneel gesprek met hem,
flikte hij het om tegen mij als een soort bovenmeester te praten.
Zoals een dominante volwassen man tegen een 3 jarig meisje doet.
Binnen een halve van mij zin oordeelde hij, zwaar vernederend en volkomen misplaatst: “Jij had dat niet mogen doen!”
Ik had de kit niet had mogen weghalen.
Ik was – zo diep geschokt – over zijn in mijn ogen compleet onbenullige en leipe onprofessionele houding, dat ik hem keihard toeschreeuwde:
“Ik mag GEEN BOOM redden, he?!”
Waarna ik direct wegliep.
Toen ik zijn – Privé Jaarverslag 2025 – nadien in het café met anderen doornam – kwam er meer gruwelingen boven.
Het Jaarverslag 2025 staat niet op de website van de Provincie Groningen.
Op het voorblad van zijn boek 2025 is staat:
Inversteer!
Met een vage amper herkenbare tekening van het Hoofdstation en het Peerd van Ome Loeks.
Beiden zijn nagenoeg geheel weggekrast.
> Paas wil kennelijk investeren in het vernietigen van dat waar Groningers tros op zijn;
Het Monumentale Hoofdstation en het Peerd van Ome Loeks.
> Paas wil de Lelylijn.
> Paas vindt ook dat de Grondwet kan bijten.
Om bizarre redenen heeft hij een kleine foto van een Duitse Herdershond geplaatst: die een burger aan de broek hangt…
> Er is nog veel meer aan zijn hoogst opmerkelijkheden in dit Paas Persoonlijke Jaarverslag 2025 .
Zoals zijn meerdere verwijzingen naar Godsdienst.
Maar dat kunt u beter zelf beoordelen.
Wellicht kunt u bij het Groninger Provinciehuis nog een GRATIS exemplaar krijgen.
Iemand schat in dat dit Paas Persoonlijke Jaarverslag 2205 zo’n €50.000,= heeft gekost.
Ik ben benieuwd wanneer het Jaarverslag 2025 van de Provinciale en Gedeputeerde Staten komt….
*
Er is openbaar geen concreet bedrag terug te vinden dat de Provincie Groningen voor het privé-jaarverslag 2025 van CdK René Paas in boekvorm heeft betaald.
In de algemene financiële stukken van de provincie worden dit soort uitgaven bovendien niet uitgesplitst op het niveau van één specifieke publicatie, maar vallen ze onder bredere kostenposten voor communicatie en representatie.
****************************************************************************************
Groningen 4 januari 2026
De nieuwe Groninger Burgemeester Roelien Kamminga
heeft samen met haar politieke kornuiten beslag gelegd: op mijn AOW.
1. Groninger Burgmeester legt beslag op AOW.
Ze wil inmiddels €2.523,24 hebben.
Doordat AGIN PRANGER GERECHTSDEURWAARDER zich er mee bemoeit.
Is de rekening behoorlijk opgelopen.
En er een gerechtelijk vonnis is, dat oordeelt dat ik iets heb vernield!!!
2. Het Oorspronkelijk Bedrag:
10 centimeter kit: € 726,= (Bedrijf Rots Maatwerk te Brummen
wat stoepkrijt: € 250,= (Groninger Milieudienst – 3 uur – 10 m2)
administratiekosten € 125,=
————————————– +
€1101,=
3. Burgemeester AGIN PRANGER gniffelen genoeglijk…
Het zogenoemde primaire bedrag (€1101,=) is te laag om tegen het vonnis in beroep te kunnen.
Pas als het primaire bedrag boven de € 1.750,= is mag men in hoger beroep.
Ik had dus de hele – ongewenste kitzooi rondom – uit de stenen moeten verwijderen.
Dan had ik een primair bedrag gehad van boven de €1750,=
En kon ik – met gemak en glimlachend – in hoger beroep.
4. AGIN PRANGER loog, namens B&W, tegen de Rechtbank Noord Nederland
dat er GEEN water in de BOOMSTAM-bak had gestaan.
Ik ben dus een echte royale leugenaarster die zo maar 10 centimeter kit wegkrabt.
Er hebben zich drie Kantonrechters met deze te onnozele zaak bemoeid.
Het mag wat kosten!
De allerlaatste Kantonrechter – betrokken niet gezien, noch gesproken – houdt kennelijk niet van Bomen, maar waarschijnlijk wel van bloemetjes.
Want zij heeft er – namelijk – eigenhandig een Bloembak van gemaakt.
Geen idee waar zij die visie vandaan heeft.
Het toont 100% aan, dat ook zij wel oordeelt, maar dat ook zij niet ter plekke is gaan kijken.
5. Dus: 2.523 Eurostickers plakken
Ik heb uitgerekend dat bij de ‘Kiki Plataan’ ophalen van 2.524 handtekeningen ongeveer drie weken duurt.
Destijds heb ik 3000 handtekeningen in tien dagen opgehaald/ DvhN link.
Maar toen was het en mooi weer en heel veel pers en geen tegenstand van Gemeentelijke Handhavers of Politie.
Ik ben nu aan het uitzoeken wat het kost om op 2.523 euromunten een actie-sticker te plakken.
Zodat in ieder geval 2.523 Burgers en Buitenlui zullen weten wat voor knetter gekke idioterie hier in de Stad Groningen – ineens – gaande is.


BOVENSTAANDE FOTO is gemaakt op: 11 December 2025 om 17:15.
Ik heb 10 centimeter kit weggehaald omdat in de bak,
rondom de ‘Kiki Plataan’ veel water stond.
Dat liep niet weg omdat de grond ernstig verdicht is~!
Het dichtkitten van deze stenen is so wie so niet wenselijk.
Het is ook niet wenselijk om deze 10 centimeter kit te herstellen.
Iemand anders heeft de kit snee – netjes – naar beneden verlengt.
Deze foto – gemaakt na het vonnis! – en toont aan dat de 10 centimeter kit,
rechts naast mijn laars,
die ik, op 5 Januari 2024, zeer bewust heb weggehaald
nog steeds NIET is hersteld.
AGIN PRANGER (namens B&W) beweert dat de 10 centimeter kit is hersteld.
AGIN PRANGER (namens B&W) beweert ook de rekening al aan ROTS MAATWERK is betaald.
*
Namens 3000 Stadjers, heb ik deze ‘Kiki Plataan’ op de Groninger Grote Markt gered.
Sinsdien hou ik haar goed in de gate.
Ik ben – op eigen titel – in 2024 naar de Bestuursrechter geweest.
Omdat B&W de Oliebollenkraam ONDER de ‘Kiki Plataan’ had geparkeerd.
Volgens – de extreem achterhaalde en ouderwets ingestelde visie van –
de Bestuursrechter Noord Nederland (31 December 2024) ben ik GEEN belanghebbende.
Volgens het vonnis van de Rechter Noord Nederland / link ben ik net als iedereen.
Een normale passant.
Wegens die antieke, zwaar beperkte, visie van de Bestuursrechter Noord Nederland
moest ik vorig jaar – 2024 en in 2025 weer – tolereren dat de Oliebollenkraam van Wiltjer Fogerty
ONDER haar BOOMKROON STOND: met hun vettige uitlaat IN de Boomkroon.
*
Citaat uit het 2024 Oliebollenvonnis ‘Kiki Plataan’ / link:
31 December 2024
ECLI:NL:RBNNE:2024:5127
“Verzoekster voert aan dat de boom in kwestie 30 jaar geleden door haar persoonlijke inzet in leven is gebleven, dat haar contact met de plataan diepgaand is en dat de boom haar Guru is.
Verder voert zij aan dat haar belanghebbendheid voortvloeit uit haar hooggevoeligheid.
(…)
Dat verzoekster zich al sinds de jaren ’90 inzet voor bomen en in het bijzonder voor de boom in kwestie, is binnen de rechtbank Noord-Nederland bekend.
Hiermee onderscheidt zij zich echter onvoldoende van anderen die geregeld het centrum van de stad Groningen bezoeken en daarbij langs de boom komen.
Naar het voorlopige oordeel van de voorzieningenrechter kan verzoekster daarom niet als belanghebbende in de zin van artikel 1:2, eerste lid, van de Awb worden aangemerkt.”
*********************************************************************************
29 December 2025
Ik ben niet simpel pisnijdig, maar ik ben GLOEIEND RAZEND!
Ik ben deze Kerstdagen doorgekomen, maar vraag niet hoe!
DE TE ONBESCHOFTE en TE BESOPEN claim van € 2.523.24
voor 10 centimeter kit en wat stoepkrijt:
is door Groninger Burgemeester Roelien Kamminga geactiveerd.
Daardoor heeft AGIN Pranger Gerechtsdeurwaarder – DAAGS VOOR Kerst – TOCH beslag gelegd op mijn AOW.
*
Alle Kerstkranten hadden advertenties van cruises en vakanties naar mooie zonninge eilanden.
Een Reisje van 8 dagen naar Maderia kost slechts € 459,=
Voor €2523,24 kan OOK IK met gemak een maand weg.
Prachtige Bomen, Planten, Bloemen en Dieren bekijken.
Lekker snorkelen.
Of ook leuk:
> 504 Cappucion’s = 1,5 jaar elke dag een lekker bakje drinken in een gerenomeerd cafe.
> 1000 lekkere hete appelflappen van de oliebollenkraam Ossenmarkt.
Elke dag 1 appelflap , is bijna 2 jaar appelflappen.
> 2000 Dropsoldaatjes (Te koop bij Droppie). uitdelen op de Grote Markt.
> 2423,24 zakken chips. (€ 0.99) Uitdelen aan tieners met een fatbike op straat
> Een electrische Fiets kopen en ruime rondjes rondom Groningen rijden.
> Fruitbomen planten bij voedselbossen.
> 2000 kilo Wintervogelzaad door de gehele Stad uitstooien.
Wat blijft liggen komt vanzelf wel tot bloei.
Dat is geurrilla gardening / link.
> Betonnen ronde tegels in de Kerklaan op de stoep leggen
Geen akelige grite hoge auto’s en ook geen verhoogde stoep.
*
Ik kon mij niet voorstellen dat Roelien Kamminga,
als Burgemeester verantwoordelijk voor integriteit mij dit zou flikken.
Maar ze flikte hel wel.
Woon al ruim 50 jaar in Groningen.
Ik zet mij al 30 jaar GRATIS in voor het behoud van Bomen in de stad.
Ik zet mij in.
Ik vecht niet.
Ik heb geen vijand.
Dat wat Burgmeester Roelien Kamminga – sinds haar aanstelling –
dus in het afgelopen half jaar mij allemaal heeft geflikt, is met geen pen te beschrijven.
Haar wangedrag naar mij, gaat alle wangedrag van voorgaane Burgmeesters, te boven.
Mijn eigen onderzoek, op basis van mijn eigen dossier
toont maar 1 conclusie:
Burgmeester Roelien Kamminga is COMPLEET ONGESCHIKT voor de functie van Burgemeester.
*********************************************************************************
23 December 2025 21:12 uur.
Ik heb vanacht tot 04:00 uur Googe AI geraadpleegd.
Dat leverde op dat er, in het birzarre proces van 10 centimeter kit en stoepkrijt:
er idioot lange lijst van veel fouten zijn gemaakt.
B&W nam in het gehele proces – OP DE ACHTERGROND – de leiding.
AGIN PRANGER INCASSO deed HET LEEUWENDEEL in de gehele procedure .
De Rechtbank Noord Nederland heeft GEFAALD EN GEBLUFT.
ER ZIJN BIJ DIT MISSELIJK MAKENDE GEBEUREN: VEEL MENSEN BETROKKEN.
1. Meerdere medewerkers van AGIN PRANGER INCASSO – ASSEN,
2. 3 Burgemeesters,
3. Meerdere Wethouders,
4. De enige contact ambtenaar,
5. Meerdere Topambtenaren,
6. 2 Gemeenteraadssecretarissen,
7. De Griffie,
8. Lokale Ombuds
9. De Rechtbank Noord Nederland (afdeling Kanton)
Gelet op de ernst van deze zwaar onredelijke zaak, welke is gebasseerd op zoveel verwijtbare en ernstige fouten, raad ik aan om geen beslglegging op mijn financien uit te voeren.
Ik heb vanochtend vroeg direct contact gezocht met de Kamer van Gerechtsdeurwaarders.
Ik heb een uitstekend gesprek gehad met een uiterst professionele medewerker.
Ik ben zeer tevreden over het gesprek.
1. -> We hebben besproken dat het nu al mogelijk is
om bij de Kamer van de Gerechtsderuwaarders een klacht in te dienen.
Het is glashelder naar voren gekomen
dat het aan het College van B&W en de Groninger Gemeenteraad is om te besluiten,
dat AGIMN PRANGER INCASSO
het Vonnis NIET uitvoert en dat er geen beslag wordt gelegd op mijn financien (AOW)!
2. -> Daarnaast is het mogelijk om een klacht in te dienen bij:
AGIN PRANGER INCASSO.
3. -> Tevens is het mogelijk om diverse klachten in te dienen bij:
De Gemeente Groningen tegen B&W en Topambtenaren.
4. -> Tevens zal ik diverse WOO verzoeken doen.
* Over: De opdracht aan en de offerte van ROTS MAATWERK TE BRUMMEN.
* Waarom: zijn er geen gespecificeerde rekeningen?
* Over: Wanneer is de rekening voor herstel van de 10 centimeter kit betaald?.
* Waarom: is, ondanks de beweerde betaling door B&W, na 2 jaar de 10 centimeter kit
toch nog steeds niet hersteld?
* Het vorderen van niet herstelde werkzaamheden mag niet volgens de Awb.
Waarom is die vordering dan toch uitgegaan?
Zelfs met de melding van ophande zijnde beslaglegging!?
* Waarom: is mij niet de mogelijkheid geboden om zelf de kit te laten herstellen
door een professioneel gronings annermers bedrijf en de stoepkrijt schoon te maken?
Voor – reele en aanvaardbare – kosten: €87,= i.p.v €726 (ROTS MAATWERK)?
Dat is bijna 9x zoveel!
* Welke deskundige en wanneer heeft geconstateerd dat er geen water
in de Boombak stond?
Wat s de stand van aken van de verdichting van de grond bij de ‘Kiki Plataan’?
* Wie van AGIN PRANGER /B&W heeft geconstateerd dat er 20 cm kit zo zijn verwijderd
i.p.v. 10 centimeter?
* Waarom heeft er geen comparitie zitting plaats gevonden,
ondanks dat mij dat is toegezegd door de eerste Kanton -rolrechter?
* Waarom stond die toezegging net in haar verslag?
* Wie van de Boomdeskundigen zou in de Rechtszaak een verklaring
hebben willen afgeven?
Waarom is daarvan geen schiftelijk noch modeling gehoor aan gegeven?
* Hoe komt een betrokken Top ambtenaar erbij dat ik natuursteen zou hebben vernield?
heeft hij dat zelf geconstateerd? Zo nee, wei heeft hem dat verklaard?
* Waarom is in di gehele procers mij verboden om met betrokken ambtenaren
te spreken?
* Waarom is – tot op heden – geen enkele ambtenaar of Burgemeester
met mij in gesprek gegaan?
* Waarom is Burgemeester Roelien Kamminga zo onprofessioneel
dat zij weigert te begrijpen dat ik absoluut NIETmet twee anonieme ambtenaren
in gesprek ga?
Waarom wil zij in Januari 2026 daartoe een exact nieuwe poging doen?
Wie heeft haar dit ingefluisterd?
===========================================================
BURGMEESTER ROELIEN KAMMING: CHRONISCH ONPROFESSIONEEL ? !
Doe mij nu maar eens: EXTERNE MEDIATION!
Ik heb vanochtend, zaterdag 20 December 2025,
van Burgemeester Roelien Kamminga persoonlijk een brief ontvangen.
Notabene per gewone post,
maar wel in een ‘chique’ Burgemeesters enveloppe,
Haar brief laat mij zien, dat ik vind dat zij, als Burgemeester,
niet de professionele capaciteiten heeft die je van een bestuurder
van een Grote Stad mag en moet verwachten.
Daar waar haar brief oplossing gericht zou moeten zijn,
heeft zij – met deze brief – de reeds jarenlange heftige problematiek
veel erger gemaakt.
Haar brief is:
1. Ongedateerd.
2. Geen dossiernummer.
3. Zij geeft niet aan om met mij in gesprek te willen.
4. Zij heeft zich- overduidelijk – niet inhoudelijk laten informeren –
door de betrokken Topambtenaar.
-> Haar is kennelijk onbekend wat mijn weigeringsgrond is
Waarom ik de eerdere gespreks uitnodiging: NIET ACCEPTEER!
-> Ik zou in gesprek moeten met twee annonieme medewerkers!
-> Zij flikt het nu zelfs om wel te wijzen naar de mijn afwijzing,
maar zonder mijn reeele motivatie te noemen.
5. Sterker:
– > Zij kondigt aan dat er in JANUARI 2026 een ‘nieuwe’ uitnodiging komt.
– > ONPROFESSIONEEL:
WEER met de twee dezelfde – door mij al afgekeurde annonieme –
medewerkers.
*********************************************************************************************************

De oude situatie: met stevige stenen.
ZONDER KIT !!!!
Het water kon goed weg!
**********************************************************************************************
19 DECEMBER 2025

<<<<<<<<<<<<<<<<<<<<<<<<< Peter van Straaten / link >>>>>>>>>>>>>>>>>>>>>>>
Vanochtend, vrijdagochtend dus, rond 07:30 UUR stond
AGIN PRANGER INCASSO ASSEN
Op mijn stoep.
Burgemeester Roelien Kamminga € Wethouders
blijken hen
toch
te hebben geactiveerd:
OM BESLAG TE GAAN LEGGEN OP MIJN INKOMEN: 2 x AOW!
Het bedrag is opgelopen tot: €2.523,24
Dit onbeschoft extreem hoge bedrag
is louter
voor de door
mij verwijderde 10 centimeter kit – bij de ‘Kiki Plataan’ GROTE MARKT
(Zie boven, de foto van mijn laars)
en
voor wat stoepkrijt.
1. €726,= > Voor 10 centimeter niet herstelde kit: (Offerte Rots Maatwerk te Brummen).
2. €250,= > Schoonmaken van wat stoepkrijt (Rekening Milieudienst Groningen).
3. €125,= > Administratiekosten.
Met AGIN Incasso en Kantonrechterkosten:
Is het bedrag opgelopen tot: €2.523,24.
*
Als beslaglegging,
in plaats van een bloemetje,
het restant is van mijn 30 jaar lange GRATIS inzet/ link
voor het behoud van Bomen / link in de Stad Groningen ….
En geen enkele Groninger:
> B € W,
> AGIN PRANGER INCASSO ASSEN / link
> ROTS MAATWERK te Brummen/ link
> Groninger Rechtbank Noord Nederland (= Casino Noord) / link
corrigeert….
Maar als alle Groningers als Slappe Konijnen / link
mijn duidelijke verhaal slechts aanhoren…
Dan rest mij niets anders
dan aangfite te doen tegen de: ‘Bestuurlijke Bult en aanverwante artikelen.’
Wegens jarenlange buitensluiting, vernedering, tegenwerking, smaad.
En dan nu ook: AFPERSING.
Op basis van mijns insziens: diverse leugens naar de Rechtbank Noord Nederland.
Die daar – uiterst welwillend – in meeging!
*
Op dit moment is het voor mij wachten op de uitkomst van de rechtszaak van WIL ROODE / link
Zij mocht – zonder het (wettelijke) hoor en wederhoor – 7 maanden niet in het Stadhuis van Amstelveen.
Daardoor kon zij haar werk niet doen.
*
Als zij haar rechtszaak wint,
dan lazert
– met donderende herrie –
in een GROTE KLAP
de enorm lange rij
van alle – in ruim 15 jaar –
tegen mij genomen B € W: ‘Domino’ Besluiten!
Omdat ik – als enige Stadjer – ruim 15 jaar in EEN REGIME heb moeten leven.
Ik heb mijn werk amper kunnen doen.
Nu zit ik zelfs met de Groninger B € W: in een Financiële Vechtkooi!
IK HEB RUIM 15 JAAR LANG
EN
EINDELOOS VAAK
AAN GEGEVEN
DAT ALLE B € W BESLUITEN
ZIJN GENOMEN:
ZONDER HET WETTELIJKE HOOR EN WEDERHOOR.
**********
Juridisch.
Hoor en wederhoor in deze context:
In de zaak van Roode wordt gesteld dat de Gemeente dit beginsel schond,
omdat zij niet is gehoord voordat er ingrijpende stappen en uitingen over haar werden gedaan, wat de basis vormt voor de eis om eerherstel.
Het belang van hoor en wederhoor.
Hoor en wederhoor is zowel een journalistiek beginsel als een algemeen rechtsbeginsel (verwant aan art. 6 EVRM en het civielrechtelijke art. 19 Rv)
dat inhoudt dat beide partijen hun kant van het verhaal moeten kunnen geven voordat een oordeel wordt gevormd.
Het beginsel van hoor en wederhoor is om twee redenen van belang:
- voor de volledigheid van de waarheidsvinding, dus bij het vaststellen van de feiten;
- voor de evenwichtigheid van de beoordeling, bij het waarderen van de feiten.
Als men informatie heeft ontvangen van een of meer getuigen of betrokkenen, lijkt de zaak misschien volstrekt duidelijk.
Toch kan degene over wie iets beweerd wordt vaak dingen corrigeren of aanvullen, waardoor eventuele misverstanden uit de weg kunnen worden geholpen.
Soms wordt daardoor een onverwacht licht op de zaak geworpen.
In feite is het onmogelijk een compleet beeld van een zaak te vormen zonder het standpunt van alle betrokkenen gehoord te hebben.
Bovendien is informatie vaak ‘gekleurd’.
Een getuige kan onbewust beïnvloed zijn door vooroordelen of eigenbelang.
Iemand kan ook opzettelijk de zaak in zijn eigen voordeel verdraaien.
Een slachtoffer van een misdrijf kent de achtergronden van de verdachte niet.
Wie slechts één kant van de zaak hoort of leest,
heeft vaak niet door dat de zaak genuanceerder ligt dan het in eerste instantie lijkt.
++++++++++++
Wil Roode, ex-burgerraadslid voor de SP en o.a. werkzaam voor de FNV voor uitkeringsgerechtigden, mocht zeven maanden lang – van juli 2023 tot en met februari 2024 – het raadhuis niet in.
De FNV verzet zich in een rechtszaak tegen de gemeente op dinsdag (28 januari) om 09.00 uur bij de rechtbank in Amsterdam.
Van de federatie namen collega’s van Roode klanten over.
Zelf is zij door de gemeente beschuldigd van intimidatie.
Roode eist eerherstel.
“De FNV procedeert omdat de Gemeente geen wederhoor hield”, zegt ze. ‘Dat mag niet.”
Antropologe dr. Ellen Steijvers vindt in wezen dat de bestuurscultuur in Amstelveen niet deugt.
Volgens haar komt het verbod neer op gebrek aan transparantie en is het voor elke kritische burger een gevaar.
Wil Roode stond en staat erom bekend om haar vasthoudendheid en de manier waarop zij keer op keer volgens haar tekortkomingen in het gemeentelijk beleid aan het licht bracht.
Beleefd
Onrechtmatige weigeringen van woonurgenties, bijvoorbeeld, waardoor gezinnen in dakloosheid of financiële problemen belandden.
En gebrek aan transparantie, zoals het achterhouden van dossiers, wat burgers hun recht op bezwaar ontnam.
Roode zegt ook van dichtbij te hebben gezien hoe door onder meer ingewikkelde en ontoegankelijke procedures en falend beleid hulp vertraagden, stress veroorzaakten en burgers in problemen bracht.
“Burgers leefden in onzekerheid, ervoeren stress en belandden soms zelfs op straat”, zegt dr. Steijvers.
Zij heeft onderzoek en dat zou aantonen aan dat de beschuldigingen niet gebaseerd zijn op feitelijk gedrag, maar op persoonlijke interpretaties en gevoelens van ambtenaren en bestuurders.
Volgens Steijvers – specialiste op het gebied van gedrag, cultuur en governance – blijkt uit haar jarenlange onderzoek een gemeentelijke framing
Klachtencommissie
Zij zegt dat in plaats van dialoog, samenwerking en mediation de gemeente koos voor framing en uitsluiting.
Steijvers heeft in haar getuigenverklaring een tijdlijn opgenomen waaruit blijkt dat organen – zoals de klachtencommissie, Ombudsman en Gemeenteraad – structureel tekortschoten.
Overigens wordt de pers nooit door de Gemeente uitgenodigd voor de hoorzittingen door de Klachtencommissie.
Steijvers stelt dat dit niet alleen een kwestie van gedrag of cultuur is,
maar een systemisch probleem waarin kritiek wordt ontmoedigd en defensief gedrag overheerst,
met ernstige gevolgen voor burgers en transparantie.
De rechtszaak raakt volgens haar niet alleen Roode maar in wezen het vertrouwen van vele kritische burgers in de transparentie van de (lokale) overheid.
“Deze zaak is niet alleen juridisch relevant, maar ook maatschappelijk urgent.
Het gaat om de vraag hoe onze democratie omgaat met tegenspraak
en wat dit betekent voor burgers in onze samenleving die hulp nodig hebben.”
Overigens heeft de gemeente gepoogd de rechtszaak niet ontvankelijk te laten verklaren, maar dat stond de rechtbank niet toe.
*
Noot van mij:
Als je – als B&W Amstelveen –
zelfs in deze zaak (nog) probeert
om de belanghebbende FNV (opkomend voor Wil Roode)
niet ontvankelijk te verklaren,
dan vertoon je mijns inziens onaanvaardbaar grensoverschrijden gedrag!
============================================================
*****************************************************************************************
>>>>>>> STOP NU !!!!
GEEN VERANDERINGEN VEILIGE KERKLAAN / Het gootje link
link link link
Woensdag 17 December 2025 wil B€W dat de Groninger Gemeenteraad alweer een stevige duik in de portemoNEE van de Groningers neemt!
Die duik van deze financien is aantoonbaar:
ONprofessioneel, ONredelijk en ONwenselijk.
Ik woon er al 50 jaar en ik heb nog NOOIT een aanrijding gezien.
De straatstenen van de stoepen liggen er GOED in.
De mooie authentieke keien in het Noorderplantsoen liggen er GOED in.
Er is namelijk helemaal NIKS MIS met de huidige Kerklaan.
De Kerklaan is een NU BREDE VEILIG BUURT- & FIETSstraat.
De STOEPEN zijn NU VEILIG.
LET OP:
Niemand geloofde mij.
Maar omdat het gedeelte tussen de onderdoorgang van de TreinTunnel tot en met de Supermarkt (PLUS) onlangs is aangelegd:
Kan ik nu het gevaar laten zien.
Zo kan je niet meer over de verhoogde stoep auto’s kijken.
Ben je – heel eng – opgesloten tussen auto en gevel.
En kun je bij oversteken de fietsers NIET aan zien komen en zij jou ook niet.
*
De Stoepfietsers in de Kerklaan ook nu al een GROOT probleem.
Dat probleem wordt door de versmalling alleen maar erger.
Want de snelle fietsers wachten NIET meer achter de auto’s en de vrachtwagens die pakken de stoep.
Vriend Gorilla / link kan er over meepraten.
Voor zijn veiligheid moest hij €1.500,=
******************************************************************************************************
>>>>> Burgemeester Roelien Kamminga (VVD) WAAR BENT U MEE BEZIG? <<<<<
******************************************************************************************************
BASISVRAAG!
Burgemeester Roelien Kamminga (VVD) waar bent u mee bezig?
Het is bijna het einde van 2025.
Het was voor mij een behoorlijk onaangenaam jaar.
Vanaf het prille begin van uw aantreden speelde u, in dat onaangename deel van het jaar, een zeer grote rol.
In de media vertelde dat u, dat u er al jaren van droomde om Burgemeester van Groningen te willen worden.
En dat u lang wilt blijven.
Ik schat in dat u een essentieel en compleet ander gedrag zult moeten gaan vertonen.
Tenmiste, als u lang Burgemeester wilt blijven.
Zoniet, dan wordt het niks!
Inmiddels ken ik meerdere Stadjers die van u persoonlijk professioneel bestuurlijk gedrag verwachten.
Maar dat van u – tot op heden niet hebben gekregen.
Wet- en regelgeving, democratie, samenspraak, gelijkwaardig zijn, wederzijds respect
dat zijn de woorden, met bijbehorende concrete invulling, waar een Groninger recht heeft.
Dagdromen in de Tweede Kamer accepteert de gehele Nederlandse Intelligente Bevolking niet meer.
*
Wat dacht U (!) – van het onaanvaardbare probleem – van een verongelukte Groninger,
die door de Gemeente Ambtenaar administratief weer tot leven is gewekt?
En wat de familieleden maar niet hersteld krijgen?
Samengevat in 30 slechts woorden.
*
De afgelopen jaren zijn meerdere Stadjers stevig beschadigd geraakt.
Primair: door wangedrag van Ambtenaren van meerdere nivo’s.
Secondair: door het falen van de afwikkeling door de Burgemeesters en Wethouders
en Gemeenteraadsleden.
*
Haren, de krant / link geeft de dramatische, jarenlange, inzet van de heer Leo Nederpel weer, wegens een buurvrouw met een psychische basis.
De buurvrouw is inmiddels overleden.
De erkenning van dat wat de heer Leo Nederpel heeft doorgemaakt, door diverse betrokken instanties, is herkend door de voormalige Harense Burgemeester
Pieter van Veen / link.
Maar Bugemeester Koen Schuiling – en nu zelfs U – weigeren uittevoeren,
datgene wat door Pieter van Veen is toegezegd.
Ik ken beiden, het echtpaar Leo Nederpel en Titia Meidema.
Beiden zijn Geen Doorsnee Burger.
Maar beiden zijn wel eerlijke en oprechte mensen.
Toen ik vanochtend het bericht in de Haren, de krant las, herkende ik het patroon:
van het stuurloos en star ontkennen van het wangedrag van de ambtenaren.
GEKOPPELT aan uw zwijgen en dat van voormalige Burgemeester Koen Schuiling / link link.
**********************************************************************************************
>>>> ZOEK DE 5 VERSCHILLEN TUSSEN: EEN OPEN GULP & 10 CM KIT <<<<<
**********************************************************************************************
BEN IK EEN 10X GROTERE CRIMINEEL DAN SCHUILING: €250,=?
IK REDDE EEN BOOM: €2250,=.
DOOR HEM RAAKTE HALF NEDELAND OVERSTUUR.
U heeft het Kersreces om na te nadeken:
Legt u daarna maar eens gashelder aan IEDEREEN uit:
Waarom: is er zo’n enorme hopsasa van €250,= voor ‘Buikpiemelpijn Schuiling’?
Waarom: hebben Schuiling en U mij GEEN boete gegeven?
Zodat ik NIET in beroep / hoger beroep kan???!!!!
Waarom: kon ik tegen Schuilings & Uw extreme rekening GEEN bezwaar maken?
Waarom: heeft Schuiling en U mij een MEGA rekening gestuurd
NIET van een dichtbij aannemer maar van een idioot VER WEG aannemer?
Waarom: zou ik een idioot hoge rekening betalen moeten betalen
voor nog steeds niet herstelde kit?
Met de onmogelijkheid om in Hoger Beroep te gaan,
met het nog steeds niet uitgevoerde dreigement van beslaglegging
op 2x mijn AOW en mijn spaartegoeden
In totaal met gerechtskosten:
€2250,= voor 10 centimeter kit, wat stoepkrijt en wat administratiekosten…
Waarom: krijg ik geen uitleg op uw bewering in uw brief dat ik onjuistheden
verkondigen?
Waarom: weigerde Schuiling en U – met de groeiende groep ‘Geen Doorsen Burgers’ –
externe mediation?
Waarom: heeft u wel de lef gehad om 4 personen bij mij op de stoep geparkeren:
1. Gemeenteambtenaar !
2. Leden van het Leger Des Heils! (Ik ben notabene Kosmisch Atheistisch!)
3. Een Wijkagent!
Waarom: heeft u er – tering lang – wel 2,5 MAAND over gedaan om mijn vraag te beantwoorden:
Is uw brief een mededeling is die ik ter kennisgeving kan aannemen
of is het een besluit waartegen ik bezwaar kan maken?
Maandenlang lag deze vraag op uw buro….
Terwijl u wel de botte lef had om bij mij ongevraagd en ongewenst uw brief door de brievenbus te duwen met ‘Uw ‘Zorgaanbod’!
Door het: Leger Des Heils!
> 3 MAAND BEGELEIDING.
> ‘BELEIDING MET DE ENIGE CONTACTAMBTENAAR’
> Tot het beter met mij gaat? En, zeg eens, wie bepaalt dat?
> Een gebouwverbod voor alle Gemeente gebouwen.
********************************************************************************
Is Groningen B&W inmiddels B€W?
Rechts naast mijn voet ziet u de door mij verwijderde 10 centimeter kit.
Die 10 centimeter kit heb ik op 5 JANUARI 2024 weggehaald:
Omdat de stambak vol water stond!
Het water liep niet weg, omdat de grond te ernstig is verdicht!
Deze grondverdichting is ontstaan door de grondwerkzaamheden en het rijden met zwaar materiaal door bedrijf Avitec.
IEDEREEN kan – al bijna 2 jaar en elke dag – zien dat de 10 centimeter kit: NIET IS HERSTELD.
? > Waarom B&W zelfs naar de Kantonrechter loog dat de kit is hersteld, is mij een raadsel.
? > Waarom B&W GEEN herstelfoto heeft aangeleverd, is mij een raadsel.
? > Waarom de Kantonrechter NIET aan B&W heeft verzocht om de bewijsfoto van herstel aan te leveren, is mij een raadsel.
? > Waarom B&W GEEN Groninger Aannemer heeft willen regelen, voor een reeel bedrag, is mij een raadsel.
? > Waarom B&W het EXTREME bedrag accepteert dat ROTS MAATWERK te BRUMMEN voor 10 centimeter kit herstel rekent: €726,= , is mij een raadsel.
?> Waarom B&W via AGIN PRANGER INCASSO ASSEN voor de NIET herstelde 10 centimeter kit – via de Kantonrecht diverse verhoogde bedragen – DURFT te claimen, is mij een raadsel.
? > Het is mij een raadsel :
Waarom de Kantonrechter €2.250,= vonnist, met mogelijkheid tot beslaglegging op mijn financiën: AOW.
Geen pensioen: wegens 30 jaar dienst als vrijwillige oproepkracht van de NATUUR.
En waarom deze Kantonrechter mij smadelijk wegzet als vernielster i.p.v. REDSTER!
Het is voor mij ook een GROOT raadsel waarom BURGEMEESTER ROELIEN KAMMINGA, De GEMEENTESECRETARIS en ALLE Gemeenteraadsleden NIET ingrijpen.
‘Functioneren’ ZIJ SOMS ‘TOEVALLIG’ onder een politieke angst cultuur ????
!> Stadjers vinden het financiële B€W beleid knetter!
ZIJ vinden zeker het bedrag €40.000,= voor onderzoek naar het NOODLIJDENDE GROINGER MUSEUM: ABNORMAAL,
NOG MEER ABNORMAAL.
HOEFIJZERFABRIEK woonwijk HELPMAN)
!. AlWEER heeft de Wethoudster
GEEN BOOMWAARDE onderzoek laten uitvoeren bij de kap van 9 MONUMENTALE BOMEN, maar is slechts een mini compensatie bedrag in het Groenfonds volgens haar afdoende.
*********
Vrijdag 12 December 2025 10:53 uur.
Krijg nou wat.
Alle Apen op een fietsie!
(Is ouderwetse uitdrukking bij opmerkelijkheden.)
Ik zit nog steeds op haar antwoord te wachten, n.a.v. een te leipe brief van Burgemeester Roelien Kamminga, blijkt Wethoudster Inge Jongma het verslepen van Monumentale Eikenbomen, met herfstblad en al, in haar wethouders pakket te hebben aangevuld.
https://www.oogtv.nl/2025/12/bouw-huis-van-ten-post-begonnen-met-verplaatsing-twee-grote-eiken/
Ach, ja, met Bomen kun je slepen.
Bomen zijn van die makkiemakkie dingen.
Ze bijten niet en vallen (nog) niet aan.
Gister heeft de ‘Kiki Plataan’ een pittige tak naar beneden laten lazeren.
Zes deelnemers in het GRAND THEATER waren zwaar onder de indruk van de bijzondere energie in deze tak!
Of heeft een randdebiel haar aantreden?
In ieder geval kan één rotje in de open uitlaat van de Oliebollenkraam IN de BOOMKROON, DIE tent en DE Plataan in de fik zetten!
VUURWERK IN DE BINNENSTAD.
Preventie??!?!?!?!
Beschermen van Bomen staat NIET in wet en regelgeving.
Groninger BRANDWEER doet dus: NIKS!
Sterker:
Burgemeester Roelien Kamminga – en de rest van het zoontje in het Stadhuis – hebben òòk 100 % maling aan uw veiligheid.
MAAR, DAMES EN HEREN, HOOGGEËERD PUBLIEK, BOMEN KUNNEN ÉÉN CIRCUS ACT: ZIJ KUNNEN MET GROOT GEDONDER SPONTAAN OMVALLEN!
Terwijl ‘men’ verwachtte dat MOEDER AARDE – in het Groningse – nu wel uitgedonderd en geraast was,
zaten DE Aardbevingdeskundigen – nog simpeltjes – met koffie en leesbril naar de grafiekjes kijkend / link: OP DE KLAP TE WACHTEN.
En toen de ‘Zeerijp Klap’ kwam
(Het was daar niet maar in ZANDEWEER!!)
had NIEMAND (= Burger) dat verwacht, behalve NAM!
Sukkels!
Luister dan ook eens naar diverse burger-deskundigen!
.
************
Terwijl ‘men’ verwachtte dat MOEDER AARDE – in het Groningse – nu wel uitgedonderd en geraast was,
zaten DE Aardbevingdeskundigen – nog simpeltjes – met koffie en leesbril naar de grafiekjes kijkend / link: OP DE KLAP TE WACHTEN.
En toen de ‘Zeerijp Klap’ kwam
(Het was daar niet maar in ZANDEWEER!!)
had NIEMAND (= Burger) dat verwacht, behalve NAM!
Sukkels!
Luister dan ook eens naar diverse burger-deskundigen!
.
************
*****
Donderdag 11 December 2025 – 15.00 uur!
Rechtszaak Hoefijzerfabriek Helpman
Monumentale Bomenkap.
*
The Day After!
De Boom Effect Analyse – in combi – met het gemeenteraadsvoorstel is in mijn visie:
EEN ZOOTJE!
Is wat hier gebeurd; MEINEED????
Met dank aan Loco Burgemeester (Wethoudster) Wijnja en de gepensioneerde Gemeenteraadscretaris Christien Bronda!
*
Ik heb de prille indruk dat GRONINGER Gemeenteraad volkomen onjuist is geïnformeerd.
En dat zij dit – TIJDENS DE BESLUITVORMING (DOELBEWUST ?) NIET HEBBEN ONTDEKT.
Ik ben al na enkele minuten van deze ONRECHTzitting – UIT de kleine rechtszaal (1e etage) gelopen.
Omdat de betrokken ‘RECHT’er ZELF aangeeft dat het op de achterste rij slecht te verstaan is!
Tegen de tijd dat:
- DEZE betrokken ‘RECHT’er
- DE BELANGHEBBENDEN ADVOCAAT
- DE ADVOCATEN van B&W,,
HET DOODNORMAAL VINDEN
dat de HUN betalende belanghebbenden deze ONRECHTzaak NIET KUNNEN VERSTAAN,
en AL de betrokken advocaten deze ‘RECHT’er NIET corrigeren en zij geen klap op de tafel geven:
“Ik kan dit niet accepteren!”,
en zij allemaal dus NIET opkwamen voor ALLE belanghebbenden en ALLE belangstellenden,
dan is deze zitting voor mij DIRECT over er uit.
Met de 3 RECHT-BANK bodes – op de gang – ‘besprak’ ik het geopperde ‘achterstallig’ onderhoud.
En ik diende, direct, een klacht in.
Er kan in het normale leven altijd iets fout gaan. Maar dit is bij deze Rechtbank: CHRONISCH!
Ik kom NIET voor een niet te verstane
ONRecht-BANK SHOW :
voor een handjevol duur betaalde gasten.
Ik kom voor eerlijkheid en fatsoen!
******************************************************
Woensdag 10 December 2025
Beste Sinterklaas en Lieve Zwarte Pieten,
U heeft vergeten om nog een stalletje dramatische Topambtenaren op uw schip bij de Hoger Der A mee te nemen.
Zij – met z’n allen – rekenen voor het slopen van meerdere Monumentale Bomen: (Hoefijzerfabriek Helman) slechts €3.910,=
Dit bedrag kan niet waar zijn!
Ik, en overige professionals – vind dit Mini Monumentale Boom Sloop Bedrag: ONREDELIJK !!!!
ONPROFESSIONEEL!
*
VOORBEELD:
Burgemeester Roelien Kamminga (1) en AGIN Pranger Incasso (2) en de Rechtbank Groningen Noord (3) zitten mij met z’n allen achterna en willen zelfs in mijn protemoiNEE duiken:
> voor 10 centimeter kit (noodzakelijk weggehaald wegens het redden Kiki Plataan)
> en schoonpoetsen van wat stoep krijt.
Inmiddels is de somma opgelopen tot: €2.2.50,=
Dat is 2x mijn AOW.
Daar kan ik veel Pepernoten, Choclade Letters, Marsepein en Bank-etstaven voor kopen!
Die idioot hoge rekening is ontstaan bij 10 centimeter kit,
omdat Rots Maatwerk te Brummen de onredelijk HOGE niet uitgevoerde herstelkosten rekent €726,=
**********************************************************************
Ik werd zojuist getipt dat er morgen –
Donderdag 11 December 2025 om 15.OO uur
bij de Rechtbank Noord Nederland een ONRecht-szaak is vanwege
kap van meerdere (Monumentale) Bomen bij de Hoefijzerfabriek Helpman in Groningen.
Ik heb in mijn bestaan redelijk veel bizarre Bomenkap documenten gezien,
maar dit spant de kroon!
Maling: aan de Burgers!
Democratie? Dat is een versleten woord!
Het polieteke Bestuur gedraagt zich als alles uitelkaar trekkende HYENA’s!
Je neemt als B&W en Gemeen(t)eraad gewoon: DE BINNENBOCHT:
1. >
De gemandateerde Topambtenaar (vergunningverlener TVH) geeft zelf aan
dat WONINGBOUW STRIJDIG is met de in het (democratisch vastgestelde) bestemming: BEDRIJF!
2. >
Mogmaals:
Er is op deze lokatie GEEN WONINGBOUW (139 woningen) mogelijk!
Het bestemmingsplan is omschreven als: BEDRIJVEN terrerin
Groninger Gemeenteraadsleden faceliteren deze enrome ingreep en geven gewoon hun goedkeuring van geen bezwaar! / link
3. >
Het lijkt erop dat er – net als bij Beton bos – de wethoudster weer GEEN Boomwaarde van de MONUMENTALE Bomen heeft bepaald !!!!
Er zijn enkele – Leipe – documenten te vinden!
Boom Effect Analyse Hoefijzerfabriek Helpman / link
Boom Effect Analyse (BEA):
“Om de invloed van de ontwikkeling op de bomen in het gebied in kaart te
brengen is de Boom Effect Analyse (BEA) locatie Hoefijzerfabriek Groningen
opgesteld door Osaka Boomadvies, conform de eisen die gelden binnen de
gemeente Groningen.
Om de herontwikkeling van de Hoefijzerlocatie mogelijk te maken is een vergunning nodig voor de kap de bomen.
Aangezien het hier 3 monumentale bomen betreft en omdat een deel van de compensatie
financieel wordt gedaan, is deze BEA door het college vastgesteld en wordt u
als raad hierover geïnformeerd.
Om deze ontwikkeling mogelijk te maken moeten er in totaal 9 bomen,
waarvan 3 monumentale bomen en 4 potentieel monumentale bomen, en
736m2 houtopstand verwijderd worden.
De compensatie van de bomen wordt gerealiseerd binnen het plangebied.
De compensatie van de houtopstanden vindt gedeeltelijk plaats binnen het plangebied.
Er is ruimte voor compensatie van 644m2 houtopstand.”
(Hoe dan?)
Voor de overige 92m2 die niet gecompenseerd kan worden wordt een storting in groencompensatiefonds gedaan van €3.910,-
(92m2 x €42,50).
Planviewer / Link
*Rik Heiner (VVD): “Een visie is geen harde afspraak”
De VVD is kritisch. Rik Heiner:
“Wat we twee jaar geleden vastgesteld hebben is een visie.
Dat is geen harde afspraak. Ondertussen zitten we in de grootste wooncrisis na de Tweede Wereldoorlog. We moeten woningen bouwen. Wat zegt u tegen al die woningzoekenden?”
Van der Laan:
“Ik noemde zojuist dertigduizend.
Maar misschien willen er wel honderdduizend mensen naar de stad komen.
Maar we hebben wel rekening te houden met bewoners die daar nu al wonen.
Want anders gaan er hele gekke dingen gebeuren in deze stad.
Dan krijg je onvrede.
Dan wordt er vanuit zo’n wijk gedacht, die gemeenteraad doet maar.
Wij worden toch niet gehoord. Deze bewoners hebben heel positief meegedacht. Het zijn geen NIMBY’s.”
*******************************************************************
Groningen 5 December 2025
In de boot.
Piet: “Sinterklaas, Sinterklaas!”
Sinterklaas: “Piet! Niet storen! Ik heb het heel druk!
Ik moet nog pakjes brengen naar
Andre, Hoepeltje, Zwemmer, Zandbak
Witte Grote Hond, Poes Miauw, Kanarie Koos.
Ik heb geen tijd!”
Piet: “Maar Sinterklaas! Er is een brief vandaag gekomen van de Burgemeester!”
Sinterklaas: “Kan mij niks schelen. Ik wacht al heel veel dagen en een paar maanden!”
Pak je telraam maar:
Vanaf 29 september tot vandaag 5 december: mijn Verjaardag!
Piet: “Sinterklaas, het is een beetje belangrijke brief, echt waar!
Zal ik hem voorlezen?’’
Sinterklaas werd chagrijnig.
Hij pakte zjn staf en hij harkte, met de krul van zijn staf, Piet naar zich toe.
Sinterklaas praatte heel zachtjes, hij fluisterde, in Piet’s oor:
“Ik wil het niet horen. Ik laat mij mijn Verjaardag NIET verpesten!
Leg de brief maar onder het Kompas,
dan lees ik de brief wel op de boot naar Spanje!
Dat is een mooie koers!”
Sinterklaas zei toen hardop en pittig:
“Kom op, nu, waar is de tas met alle cadeau’tjes?”
Piet werd blauw, groen en paars van kleur!
Hij had – super per ongeluk – de grote tas met alle kadootjes in een winkel laten staan.
Piet had al naar de winkel gebeld.
Ring Ring Ring daar was iemand aan de telefoon:
“Oja, wij wisten al dat het van Sinterklaas was. Ja, wij kennen Sinterklaas wel.
Oja, die tas is dus toch van Sinterklaas! Ja, ja, DAT zagen wij me-teen.
Wanneer komt Sinterklaas hem halen?”
Wat, heeft Sinterklaas geen fiets? En zijn paard dan? Loop hij alles???
Nou, dan bewaren we de tas met mooie kadau’tjes nog even.
Maar…. Er zitten allemaal mooie kadeeet’tjes in!
Mogen wij die mooie koekjes wel alvast opeten?”
Piet vertelde het allemaal aan Sinterklaas.
Het enige wat Sint zei is:
“KOFFIE!”
*****************************************************************

1 December 2025 – 18:06 uur.
Ik kan – inmiddels -heel erg goed Kikiaans schelden.
Mijn poten stijf en mijn moeilijke rug rechtop: ook!
Ik ben NIET bang voor AGIN Pranger Incassoburo.
Ik heb met het OM Zwolle afgesproken dat ik aangifte ga doen.
Ik vind dat ik door Burgemeeester Roelien Kamminga, B&W Gemeenteraadsleden,
AGIN Incasso, Rechtbank Noord Nederland wordt afgeperst.
Ik weiger het Vonnis bedrag van €2.250,= te betalen,
Ondanks de aangekondigde waarschuwing van beslaglegging op mijn financien.
Ik betaal GEEN Vonnisnota van: 2x mijn AOW maandinkomen!
Louter voorL
1. De door mij verwijderde 10 centimeter niet herstelde kit bij de ‘Kiki Plataan’ Grote Markt.
(Op basis van de nota of offerte aan B&W van Rot BV Maatwerk te Brummen).
2. Opbasis van wat stoepkrijt.
De Kantonrechter oordeelt in het Vonnis dat ik kit heb vernield.
Ik heb de ‘Kiki Plataan’ gered.
Maar….
De Vonnisende Kantonrechter – Noord Nederland – heeft op de foto’s GEEN BOOM STAM gezien.
ZIJ ziet: Een Plantenbak……….
***
YES YES YES !!!!!!
Onderstaande foto van de ‘Kiki Plataan’ ken ik niet.
Die heb ik zojuist gevonden.
Ik was op zoek naar een ander artikel.
Op deze oude foto is bijna te zien dat tussen de stevige zwart – wit STAMRAND
rondom de ‘Kiki Plataan’:
-> NIET <- WAS DICHT GEKIT!
Zodat het WATER IN de STAMBAK gemakkelijk weg kon weglopen.
In de nieuwe band smallere band, waarop het ook zeer moeilijk zitten is,
zijn de stenen WEL dichtgekit!!!!!
Daardoor versoop ze bijna en dreigde ze te bevriezen.
B&W ONTKENT – naar de RECHTBANK Noord Nederland dat er WATER in de BOOMSTAM Bak stond.
Korom:
Ik ben dus een leugeraar en een oplichtster.

************************************************************
De Groninger Grote Markt ‘Zuidkant Nieuwe Plataan’ is niet door OOGTV gefilmd / link
Worden geacht met elkaar te communiceren staande: op een stapel plastic bakken.
Met plastic folie.
Boom krijgt badkuip / OOGTV link
In het OOGTV filmpje is geen Boom te zien.
Wil de Boom hier niet komen?
‘Echt gezellig!’
*************************************************************
Woensdag 26 November 2025 – 24:00 uur
Ik vond het vanavond een te eng zootje
Bij het inspreken in de Groninger Gemeenteraad – over de noodzaak en het nut van het blijven van de DOT en het Stadsstrand.
We hebben meer dan genoeg gebouwen.
En we hebben te weinig armruimte en plekken waar Kinderen en volwassenen kunnen spelen.
Gratis in de Zon, de Wind, de Regen.
Dar geeft ons lijf rust en vrolijkheid en Vitamne D.
Stuur zieke mensen maar naar het Stads Strand i.p.v. rare dichte verstikte gebouwen.
Zet de zieke mensen maar in een stoel in de DOT.
En laat een mooie film draaien over:
Mijn Dierbare Oneindige Verbazingwekkende Kosmos.
*
Na weer eens de foto’s (Boom7.nl) van de INDRUKWEKKENDE verplanting te hebben gekeken,
van de door mij geredde Monumentale Linde naar de DOT,
kreeg ik zo’n huilbui dat ik met een witte servet voor mijn gezicht heb ingesproken.
Ik kon de confrontatie met de Groninger Raadsleden niet meer aan.
Die gruwelijk lelijke doodse naar adem noodsnakkende Groninger Raadszaal
– zonder flintertje kleur – en alleen maar die ongezonde kleur naar en raar lichtbruin ….
In WO II was bruin een niet geliefde kleur…
De bruine uniformen van sommige paramilitaire groepen in Duitsland
(zoals de zogenoemde “bruine hemden” vóór en tijdens de oorlog).
*
Effect van kleur / link
Ik ben de Groene kleur van de oude raadszaal gewend.
Daar was leven, met spandoeken, met boeh-geroep en: APPLAUS !!!!
Nu strafte de voorzitster elke uiterst minimale poging van de buhneapplaus,
ter ondersteuning van de betrokken inspreker, DIRECT AF!
Stilte, zwijgen, emotieloos, creatief levenslust mens zijn: VERBODEN!
De voorzitster (VVD) pompte angst onder het vel van het aanwezige publieke tribune!
“Uitingen van emoties zijn hier niet gewenst/gangbaar of….”
Ik weet niet wat ze percies zei.
Ik word met de dag dover.
Ik had behoefte aan SCHOONHEID EN TROOST!
Aaan medeleven over ONS StadStrand en ONZE DOT!
En die behoefte hadden de anderen, op de publieke tribune, ook.
Ik kon niet luisteren naar dat wat daar gebeurde:
De plek waar open en eerlijk naar de Burgers moet worden geluisterd.
Dara werd alle medemenselijkheid en oprechte betrokkenheid van Stadjers in de kiem gesmoort.
Ik ben intens verdriertig met de witte zakdoek voor mijn gezicht naar buiten geloodst:
door de Stadhuisbode die mij al jaren kent.
Kom Op Stadjers! NU!
Laat je niet overrulen door de politici.
Het is hun baan(tje) maar het is: JULLIE LEEFOMGEVING!
Uitspraak Boer Koekoek – Lid van de Tweede Kamer / link
“Ik weet niet waar het over gaat, maar ik ben tegen”.
***********************************
Woensdag 26 November 2025 12:00 uur
Zojuist heeft de Gemeenteraadsgriffie besloten dat ik vanavond om 20:00 uur mag inspreken
VOOOOOR: BEHOUD STADSSTRAND & DOT! / link: MOOI! Maarten van Roozendaale
Ik vond het onacceptabel dat bij de sloop van de Oostwand en de bouw van het Groninger Forum: Een Monumentale Linde zou worden gekapt!
De Gemeentelijke Dendrologen waren het met mij eens.
En B&W was bereid deze Linde te verplaatsen.
Geert Starre van Boom7 heeft deze Linde verplant / link.
Zijn indrukwekkende inzet is te zien op de foto’s van zijn webiste.
*
Burgemeester Roelien Kamminga heeft mij korgeleden – voor alle Gemeente Gebouwen een verbod opgelegd.
ZONDER HOOR EN WEDERHOOR / Link Maarten van Roozendaal – Mark en Lucie!
*
14050 weigerde mij door te verbinden met de Gemeenteraadsgriffier.
De Gemeenteraadsgriffier reageerde niet mijn sms signalen.
Vanochtend kreeg ik, na 3 weken, de afhandeling van de klacht, een brief namens een TOP Ambtenaar, dat ik ONTERECHT NIET ben door verbonden met Griffie.
Met al weeeeeeer de vernederende opmerking dat: IK KAN MAILEN.
IK kan niet mailen. dat heb ik al honderden keren doorgegeven!
“Zijn zij nu zo dom of doen ze nou zo dom?” vroeg ooit een oudere Dame aan mij.
SOMS BEGIN IK TE VERMOEDEN
DAT AMBTENAREN ZIJN GETRAIND
OM TE VERNEDEREN.
EN DAT:
HUN HERSENBESCHADIGING MISSCHIEN GROTER IS
<<<>>><<<>>><<<>><<<>
Dinsdagnacht 25 November 202526
Ik heb door 14 Electroshock’s een hersenbeschadiging. Ik heb een groot gat in een bepaald deel van mijn geheugen. Mailen kan ik niet meer.
Maar, Langzaam Logisch Denken lukt wel.
Mijn logica vindt dat IK de buik heb ontdekt dat IK – bewijsbaar – DOELBEWUST door B&W Groningen en AGIN PRANGER INCASSO ben: OPGELICHT.
Pas
Ik moet, dat wat Ik d.v.m. Logisch Denkende Hersencellen hebben ontdekt – nog met mijn advocaat mr. Gerard Breuker bespreken.
Maar als IK GELIJK heb,
dan is dat
een GROTE NAALD
- IN DE BALLON VAN BESTUURLIJK GRONINGEN.
- Dan MOET OOK op NATIONAAL NIVO SNEL en stevig worden onderzocht hoeveel burgers en voor hoeveel geld zij zijn OPGELICHT
- door deze TE BIZARRE B&W En IncassoBURO Oplichters Truc.
<><><><><><><><>><>><><>><><
Maandag avond 24 November 2025, 20:29 uur
Geachte Koning Willem Alexander,
Ik het kader ‘gelijke monniken gelijke kappen ‘ verzoek ik u om – per direct – bij B&W GRONINGEN en AGIN PRANGER INCASSO ASSEN: in te grijpen!
Zodat er – door hen – morgen GEEN beslag wordt gelegd op mijn bezittingen.
Nu B&W Groningen en AGIN Pranger Incasso uit UW NAAM en op basis van een ONRECHTzaak beslag willen leggen,
vind ik het 100 % logisch dat IK
namens de ‘Kiki Plataan’, mijzelf en 3000 Stadjers die geholpen hebben om deze Plataan te redden
beslag leg op UW financien, Uw inkomen of UW vermogen. Of dat van ONZE Koningin Maxima.
Deze Plataan is namelijk ook ONS GEZAMELIJK BEZIT.
Ik ga er vanuit dat U uitermate reeel bent. En dat U NIET accepteert dat onderdanen – Uit Uw Naam – oprecht kritische burgers doelbewust slopen, vernederen en beroven.
Ik ga er ook vanuit dat U zoveel medemenselijke professionele ervaring heeft, dat U degene, die zich uitleeft in MACHTSMISBRUIK, VAN VERRE HERKENT EN DAT U DAT VERNEDERENDE WANGEDRAG; ‘NEVER NOOIT’ TOLEREERT.
En dat U DIRECT CORRIGEERT!
*
Ik zet mij al jaren in voor het behoud van Bomen in de Stad Groningen.
Het Dagblad van het Noorden schreef over mij – terecht – ‘Oproepkracht van De Natuur’.
*
Precies de dag nadat ik, samen met mijn advocaat mr. Gerard Breuker, een zeer belangrijke Bomen-rechtszaak had gewonnen, kwam Uw tante Irene met haar boek:
“Terug naar de Natuur!”
Uw tante en ik zijn beiden – hoogsensitief – en wijbroden zetten ons in voor de Schoonheid van Ons Aller Aarde.
Uw tante Irene en ik hebben elkaar nooit ontmoet.
*
Vandaag stapte ik – op advies en vol vertrouwen – in de totaal verkeerde bus naar mr. Gerard Breuker.
Maar, Kosmisch zeldzaam!
In die ‘juist verkeerde bus’ stond de goede Frits Poelman.
Hij is voormalig journalist van het Dagblad van het Noorden.
Hij, en helemaal NIEMAND ANDERS, heeft mij de titel Boombeschermvrouwe gegeven!
Een aanspreek titel die ik Liefdevol:
herken, erken en heb aanvaard.
*
GÉÉN AANSCHRIJVING EN TÉ VROEG EXPLOOT!
Ik vertelde Frits Poelman over het extreem schunnige vonnis over de ‘10 cm Kit bij de ‘Kiki Plataan’ en de dreigende onterechte beslaglegging!
Ik vertelde hem ook dat in het vonnis staat dat De Gemeente mij EERST ZELF moet AANSCHRIJVEN (= de rekening sturen) om de kosten alsnog van mij te krijgen.
En dat PAS DAARNA mag – op verzoek van B&W en via een exploot – beslag worden gelegd.
Burgemeester ROELIEN KAMMINGA, B&W Groningen en AGIN Pranger Incasso zijn dus TE VROEG met hun exploot.
Want… IK heb van B&W GEEN (GEEN !) AANSCHRIJVING gekregen!
- Google AI:
- U kunt in hoger beroep gaan omdat de vordering NA de uitspraak, die €2.250 bedraagt, de appelgrens van €1.750 overschrijdt. Het oorspronkelijke bedrag van €1.100 was onder de drempel, maar de verhoging na de verloren rechtszaak is LEIDEND voor de mogelijkheid tot hoger beroep.
- • Hoger beroep mogelijk: Omdat de vordering nu €2.250 bedraagt, is het financiële belang hoger dan de drempel van €1.750 die nodig is voor hoger beroep.
- • Niet het beginbedrag telt: Het bedrag waarmee men begint, €1.100, is NIET het relevante bedrag voor het al dan niet kunnen indienen van hoger beroep. Het gaat om het EINDBEDRAG dat na de uitspraak is vastgesteld.
- • Wat u moet doen:
- Ga na de verhoogde vordering van €2.250 in hoger beroep, omdat dit de appelgrens overschrijdt. Houd er rekening mee dat het indienen van hoger beroep ook nieuwe kosten met zich meebreng
*****
Nu staat in het Exploot van AGIN PRANGER Incasso, dat zij handelen op VERZOEK VAN DE PUBLIEKRECHTELIJKE RECHTSPERSOON GEMEENTE GRONINGEN.
Simpel: B&W heeft AGIN PRANGER Incasso onprofessioneel – te vroeg opgejut.
En ZIJ hebben zich – onprofessioneel – te vroeg laten opjutten!!!
Hun vordering is € 2.250,= !
Dat is 2 x mijn AOW maandinkomen!!!
*
Op het kantoor van mr. Gerard Breuker heb ik, wegens zijn afwezigheid,
het AGIN Pranger Incassobureau exploot (21 november 2025) en het Vonnis van de Kantonrechter nog even strak doorgenomen.
En met onderstrepingen e.e.a. verduidelijkt.
Ineens zag ik dat op het voorblad van het Vonnis (11 November 2025) staat:
”In naam van de Koning”
Ik weet dat U niet op de hoogte bent van de gehele gang van zaken.
Maar ik weet zeker,
dat als U er wel van op de hoogte zou zijn,
of als U of Onze Koningin of Uw dochters zou worden geflikt, wat mij door de Kantonrechtbank, B&W, Rots Maatwerk en AGIN PRANGER Incasso wordt geflikt, dat Onze Koningin Máxima u zou pushen;
“ALEX! INGRIJPEN! MOOI OPLOSSEN, DAAR IN GRONINGEN! NU!”
*******
Maandagochtend 24 November 2025, 11:58 uur.
Ik heb zojuist mr. Gerard Breuker benaderd om mij te begeleiden de 10 cm ‘Kiki Plataan’ kantONRECHTzaak.
Mr. Gerard Breuker kennen elkaar van het ‘Kiki Criterium’
Door zijn geniale denkwijze zijn Blinden sindsdien ook belanghebbenden bij het kappen van Bomen.
Het oer oude ZICHT criterum is verlaten.
Door onze inzet zijn alle Bewoners , binnen een straal van 100 meter: Belanghebbend bij te kappen / verplanten Bomen.
*
Voor 10 cm niet herstelde kit bij de stam van de ‘Kiki Plataan’ en verwijdering van wat STOEPKRIJT wil B&W, via AGIN PRANGER Incasso met SPOED: €2.250,- !!!!!!
Dat is bijna 2x mijn AOW maand inkomen / link
*
Vrijdagavond laat, trof ik het AGIN PRANGER Incasso exploot in mijn brievenbus.
Dit AGIN PRANGER Incasso Exploot heeft – zeer opvallend met ministers is de datum geschreven!!!!!
NIEMAND kan dus uitrekenen wat de uiterste datum van betalen is.
Dit Exploot heeft zelfs TWEE (=2) dreig betalings momenten:
> binnen 2 dagen
> binnen 2 weken.
De mededeling is, dat als ik nu niet heel snel betaal, dat er dan beslag wordt gelegd.
En of ik maar even aan AGIN PRANGER doorgeef wat al mijn financiele mogelijkheden zijn.
Van inkomen, tot vermogen, tot inkomen van de huwelijkspartner.
*
(Een goede zeer humoristische vriend, zijnde ex-‘zwager’ –
Hij begon:
“Geen huwelijks partner? Dan moet je het zelf betalen!
Als je die niet hebt zoeken ze er eentje voor je!
Misschien de Burgemeester?”
IK grapte terug: “Zie je wel het ligt aan JOUW broer!”)
*
De Kant-ONRECHT-er (Rechtbank Noord Nederland) heeft op 11 november 2025. geoordeeld dat ik iets heb: VERNIELD.
Ik vind dat ik een BOOM heb GERED!
En dat B&W en ROTS MAATWERK BV te BRUMMEN bezig waren de ‘Kiki Plataan’ te vernielen, door hun DICHT GEKIT.
Ik ben van oordeel dat ik een bloemetje verdien !
Wegens het ALWEER redden van de in NOOD zijnde ‘Kiki Plataan’. ZIJ dreigde te versuipen en te bevriezen, omdat het water – in de BAK rondom haar STAM niet wegliep!

De Kant-ONRECHT-er heeft het over: een plantenbak!
ECHT WAAR!
DEZE KANTONRECHTER WAANT DAT DE GROTE BOOM
De – Kiki Plataan’ – in een PLANTENBAK staat.
EEN RECHTER MOET BIJ INGEBRACHTE FEITEN BLIJVEN EN MAG – NIET – GAAN HALLUCINEREN.
🤪
*
MIJN INGRIJPEN door verwijdering van 10 cm kit was dus SNEL & NOODZAKELIJK.
B&W WEIGERDE OM dat uit te voeren.
EN IK MOCHT DE BOMENDESKUNDIGEN NIET BENADEREN.
Dus deed ik het – simpelweg – even zelf.
Mij is immers al 15 jaar VERBODEN om met de Boomdeskundigen te spreken en te overleggen.
*
Dat ENIG CONTACT AMBTENAREN REGIME is al 15 jaar lang NIET gebasserd op enig beleid.
NOG is het on bekend wanneer de eind datum van het REGME komt.
B&W weigert ook – al jaren – mediation.
******************************
Ik heb van B&W, NA HET VONNIS d.d. 11 NOVEMBER 2025 , GEEN aanschrijving van B&W ontvangen.
Terwijl IN het vonnis duidelijk leesbaar staat dat B&W:
ALLEREERST een aanschrijving MOET sturen.
DAT IS TERUG: NAAR DE NORMALE WEG.
ZODAT IK DIE AANSCHRIJVING DAN – BINNEN DIE TERMIJN – AL DAN NIET
ZOU KUNNEN BETALEN.
*
Het AGIN PRANGER Incasso IS MET HAAR Exploots,
met = de dreiging tot beslaglegging,
op dit moment DUS ONTERCHT EN TE = VROEG !
*
ALS DIT ZO JAREN LANG DOORGAAT CREEREN B&W EN BURGEMEESTER
ROELIEN KAMMINGA EEN SLEPENDE
DOELBEWIST EEN ONRECHT-ZAAK:
EEN ONRECHT-ZAAK OP KOSTEN VAN ALLE BETALENDE STADJERS
DIE AAN ALLE KANTEN TE LEIP IS VOOR WOORDEN.
DEZE ZAAK TREFT ZELF HET FALEN VAN:: 3 BURGEMEESTERS:
WANT DEZE ZAAK LOOPT AL SIND S 5 JANUARI 2924 EN TREFT KOEN SCHUILING, MIRJAN IN ‘T VELD, ROELIEN KAMMINGA.
(Op moment dat ik dit schrijf, knalt de Kosmsche ZON er mooi, gezellig en lekker warm in!)
Ik zal vanaadg proberen om het VONNIS (11 november 2025) en het AGIN PRANGER Exploot IN HUN GEHEEL OP DEZE WEBSITE TE PLAATSEN.
*
Perplexity / link
Een gemeente moet, na een vonnis van de Kantonrechter waarin is geoordeeld dat iemand aan de gemeente moet betalen na een aanschrijving, eerst een rekening sturen waarin staat hoeveel er betaald moet worden en binnen welke termijn dit moet gebeuren.
Pas als na deze aanschrijving en het verstrijken van de betalingstermijn nog steeds niet is betaald,
mag de gemeente of haar gemachtigde incassobureau verdere stappen nemen,
zoals het inschakelen van een deurwaarder en het uitbrengen van een exploot eventueel met dreiging tot beslaglegging.
Exploot en Betalingstermijn
Op een exploot van een deurwaarder moet altijd de datum van betekening worden vermeld.
De datum op het exploot is essentieel want zonder deze datum is het voor de geadresseerde niet duidelijk tot wanneer betaald kan worden en vanaf welke datum verdere maatregelen (zoals beslaglegging) zijn toegestaan.
Het exploot fungeert als officieel document waarin alle relevante informatie, zoals de datum, namen en vorderingen, wordt opgenomen.
Stappen vóór Exploot en Beslag
- Na het vonnis volgt een aanschrijving door de gemeente waarin het te betalen bedrag en termijn wordt genoemd.
- Pas na verstrijken van deze termijn en uitblijven van betaling mag een exploot worden uitgebracht door een deurwaarder of gemachtigd incassobureau.
- In het exploot moet de datum duidelijk vermeld staan, zodat alle partijen weten waar ze aan toe zijn.
Wettelijke Vereisten aan het Exploot
- Vermelding van datum van betekening.
- Vermelding van de betrokkene(n), adresgegevens en eventuele vorderingen.
- Dit wordt ook historisch altijd zo gedaan met officiële stempels en dagtekening op het document dat overhandigd wordt.
Hiermee is vastgelegd dat pas na naleving van deze stappen een exploot met dreiging tot beslaglegging mag worden uitgebracht, en dat de datum een juridisch noodzakelijke vermelding
*******************************************************
BOOM / link
* Als u dit filmpje bekijkt,
al kijkt u maar heel kort,
DAN heeft u in enkele secondes
de essentie van mijn inzet te pakken.
*
Een echte Boom
– met Sinterklaas lege pakjes en ballonnen in haar Boomkroon –
kijkt toe.
Soms is zo iets is soms een echt zielig feestje / link.
*
Even oefenen in beweging / link.
*
Opmerkelijke Muziekant met zijn wonderlijke instrument / link
*
Fijne diertjes / link
**********************************************
21 November 2025 – 15:20.
Het VONNIS over de door mij verwijderde 10 centimeter Kit bij de ‘Kiki Plataan’ is
– in een ‘nep openbare voorstelling,
op 11 November 2025 door een Kantonrechter uitgesproken.
Niemand die van iets wist,
Dus Niemand was dara dus bij.
Het VONNIS lag- afgelopen zaterdagochtend – dus morgen een week geleden ineens bij mij op de deurmat.
Ik heb het VONNIS pas woensdagavond gelezen.
En maar 1 x.
In mijn visie is dit VONNIS zo’n grote partij blubberende leugen en bedrog,
dat het lijkt alsof je – in deze donkere dagen tijd – in de Zak van Piet
graait en dat – bij elke keer grrrraaien IN die Zak – er weer een raar en onnozel argument UITkomt.
En dat Sinterklaas , vermomd als Burgemeester, elke keer knikt en grijnzend en buigt…
Welnu:
De Kantonrechter – Rechtbank Noord Nederland (Casino Noord) -heeft besloten dat IK VERNIETIGZUCHTIG ben.
Nee, Niet GENIETZUCHTIG.
En dat IK voor AANSTAANDE Dinsdag BIJNA € 2000,= moet betalen.
NOU JA, ZEG!
Ik dacht dus van: NIET!
IK ben van mening dat IK,
door verwijdering van 10 centimeter Kit bij de stamvoet van de ‘Kiki Plataan’,
haar alweer heb gered.
En dat IK en bloemetje verdien.
Het Paard – AGIN Incasso – staat al te trappelen om beslag te komen leggen.
Maar Vriend – Perplexiy – heeft de afgelopen uren mij getemt met “Ho, Zo!”
Ik bespaar u en lieve Kinderen – in deze drukke feestdagen nog even – veel blubber door dit VONNIS (tekst) nog even niet op deze website te rammen.
Ik ga even – om te ontrammelen – naar het aardbevingsgebied . . . . .
Daar wonen hele aardige mensen.
*
Perplexity over VONNIS 11 November 2025.
Ik ben uren bezig geweest om de onderstaande zooi bijelkaar te krijgen.
Maar, ik dank snelle Perplexity oprecht en hartelijk voor alle info.
https://www.perplexity.ai/search/mag-mevrouw-kiki-de-essentiele-InA9l5SxSsOe5fcdz3OTeA
https://www.perplexity.ai/search/mevrouw-kiki-heeft-10-centmete-xssRbFm9Ra6CBXQstcD52w
https://www.perplexity.ai/search/vraag-naar-nu-blijkt-en-heel-s-k_2liT9uQHyb2BzzrWhdTQ
https://www.perplexity.ai/search/vraag-de-kantonrechter-heeft-n-F_d8kWVZQTKGncEEzeFMBg
https://www.perplexity.ai/search/mevrouw-kiki-heeft-10-centmete-xssRbFm9Ra6CBXQstcD52w
https://www.perplexity.ai/search/vraag-naar-nu-blijkt-en-heel-s-k_2liT9uQHyb2BzzrWhdTQ
https://www.perplexity.ai/search/vraag-de-kantonrechter-heeft-n-F_d8kWVZQTKGncEEzeFMBg
https://www.perplexity.ai/search/mevrouw-kiki-heeft-10-centmete-xssRbFm9Ra6CBXQstcD52w
https://www.perplexity.ai/search/mevrouw-kiki-heeft-duidelijk-i-CoF_PZQCSz2npWg.83uv8Q
https://www.perplexity.ai/search/de-kantonrechter-rechtbank-noo-vyAnMmCnSxCw12.dYAxUzQ
https://www.perplexity.ai/search/hoe-vraag-ik-schorsing-van-de-ZRWSvfRPSk6ktK.9YttT.g
https://www.perplexity.ai/search/vraag-over-de-procedure-1-mevr-BLramGfxS4mashDSBFE79A
https://www.perplexity.ai/search/u-schrijft-advies-om-contact-o-UZmgVQxlRBm67r1K67XdoQ
https://www.perplexity.ai/search/er-staat-niet-in-het-vonnis-bi-oTORb0vMSKCl_hMu6.JjgA
https://www.perplexity.ai/search/de-agin-incasso-medewerker-gaf-XritzuURSWK0Ra9vf83aWg
https://www.perplexity.ai/search/bij-welke-toezichthouder-is-ag-6YkQ6VyZTqSuyQ2JhE49BA
https://www.justis.nl/veelgestelde-vragen/waar-kan-ik-terecht-met-een-klacht-over-een-incassobureau
https://www.perplexity.ai/search/recensies-en-beoordelingen-van-za1nN5GMRAuR3w7wtxvPIw
https://www.justis.nl/veelgestelde-vragen/waar-kan-ik-terecht-met-een-klacht-over-een-incassobureau
https://www.perplexity.ai/search/recensies-en-beoordelingen-van-za1nN5GMRAuR3w7wtxvPIw
https://www.perplexity.ai/search/zoek-openbare-rechterlijke-uit-_7mAYpIhQXa1Kx4QXnMsZw
https://www.perplexity.ai/search/welke-stappen-moet-kiki-ondern-NRs0vwS8R_STmyr5ddSLLQ
https://www.perplexity.ai/search/mag-mevrouw-kiki-de-essentiele-InA9l5SxSsOe5fcdz3OTeA
https://www.perplexity.ai/search/mag-mevrouw-kiki-de-essentiele-InA9l5SxSsOe5fcdz3OTeA
https://www.perplexity.ai/search/mag-mevrouw-kiki-de-essentiele-InA9l5SxSsOe5fcdz3OTeA
“Ik had een bl-ei gesprek met m’n ei-ge !

OOGTV /link
Om 1:20 minuut ziet u een heel klein stukkie van de ‘Kiki Plataan’
Op het OOGTV fimpje komt deze Kerstboom wel erg kaal over.
Waarom is deze Boom zo idioot hoog opgesnoeid bij de nu kale stam?
Je kunt deze Boom nu niet gezellig aanraken bij de takken.
En je kunt de takken nu ook niet lekker ruiken / link.
Ik vind de ‘Kiki Plataan’ veel mooier / link webcam

Foto van de hoogste Kerstboom ooit: in Eectie-stand en zonder Koptop.
DvhN 18 November 2025
Foto van Corné Sparidaens / link.
Corné kan beter ! / link
*
Wim de Bie en Natuur / link
*
Hans de Loo’s boek / Organisatie Veilig link
Samen Save.
*
Burgers zijn uiteraard zeer bezorgd door kleine-velden-gas. / link
Kleine gasvelden kaart Groningen / link
Er is geen specifieke ‘kaart van kleine velden’ die algemeen bekend is, omdat “kleine velden” verwijst naar honderden kleinere gasvelden in de provincie Groningen, die veel kleiner zijn dan het grote Groningenveld. Een algemene kaart van de provincie Groningen zou de locaties van de gasvelden in de provincie, inclusief de kleine velden, kunnen tonen.
*
Ik heb van een aardbevingdeskundige vernomen dat de allerlaatste grote klap niet bij Zeerijp / KNMI link was, maar bij Zandweer / link.
Sterke aardbeving bij Zandeweer 5 november 2014 /KNMI link
Het lijkt erop dat er onjuiste info is.
In Zandeweer zijn er – na 2014 – wellicht ook aardbevingen geweest / link.
*
De Grote Markt Groningen.
Het plein van de Bestuurlijke Patsers.
Nep gezellig.
Live webcam Grote Markt / link
Live webcam Amsterdam / link
Kleine pianist bij iemand op schoot / link.
Dieren kijken is leuker! /link
Stapje op de maan. / link
Prachtig! / link

Zon! / link
Kosmisch Blauw Licht / Link
*
INZET BRANDWEER GEVRAAGD BIJ GRONINGER OLIEBOLLENKRAAM.
Maandag 17 november 2025 – 11.17 uur
Ik heb zojuist – telefonisch – 20 minuten met de Veiligheidregio Groningen (Brandweer) gesproken.
Ik wens hun advies naar Burgemeester Roelien Kamminga.
Omdat zij niet ingrijot bij dit brandgevoelige object:
Oliebollenkraam onder de Boomkroon van ‘Kiki Plataan’ Grote Markt te Groningen.
De Oliebollenkraam van Wiltjer Fogerty
staat – echt waar – zelfs met: OPEN UITLAAT ONDER DE BOOMRKOON!
De Brandweer Medewerker herinnerde zich dat dit probleem vorig jaar ook al speelde.
Indien er al een Brandweer advies is, of nog wordt opgesteld, dan kan een Burgemeester dat advies negeren.
*
Er branden geregeld Oliekramen af / link
Er zijn meerdere voorbeelden van oliebollenkramen die afgebrand zijn, zowel door brand, explosie als brandstichting.
Deze voorbeelden laten zien dat oliebollenkramen risico lopen op brand,
soms door een technische storing, soms door brandstichting, en soms door foutief omgaan met frituurinstallaties.
Tholen / link
Eindhoven / link
Tilburg / link
Huissen / link
Deurne / link
*
17 November 2025 & 19 November 2025 – 15:13 uur
BURGEMEESTER ROEELIEN KAMMINGA EXTREEM IN DE FOUT
Ik heb het ’10 centimeter Kit Kiki Plataan Vonnis’ van de rechtbank Noord Nederland (=Casino Noord) nog steeds niet gelezen.
Maar, als Perplexity AI gelijk heeft, waar ik op dit moment van uit gaat / link,
dan is het de zoveelste keer in korte tijd dat Burgmeester Roelien Kamminga op onaanvaardbare wijze faalt.
*
Maandag 17 November 2025 – 11:00 uur
Groninger Wethoudster Inge Jongman (CDA) wordt geboycot!
Vanochtend weigerde de telefoniste van 014050 weigerde om mij door te verbinden met de secretaresse van wethoudster Inge Jongman.
De 14050 telefoniste zei:
“U heeft een Gemeente Verbod: ALGEMEEN!”
*
Ik heb vorige week rechtstreeks naar haar secretarisses vorige week gebeld.
Samen hebben wij de problematiek doorgenomen.
De secretaresse wist nergens van.
Zij zou e.e.a uitzoeken.
*
Wat is er aan de hand?
Een topambtenaar heeft mij – namens Burgemeester Roekien Kamminga- een bizarre brief gestuurd.
Er blijken 4 personen (1 Gemeente Ambtenaar, 2 leden van Het Leger Des Heils, en 1 Wijkagent bij mij op de stoep te hebben gestaan.
IK BEN DAAR NIET VAN GEDIEND,
Ik zou 3 maanden – in een zorgtraject moeten.
En dan moeten worden begeleid door de twee LEGER DES HEILS medewerkers.
Daar ben ik helemaal niet van gediend.
Ik – als ervaren atheiste – kan al ‘Kikiaans Vloeken’.
***********************************************
Dinsdag 17 November 2025.
Noorderzon Nieuwe directeur en Mevrouw Kiki ……….
Na de schitterende dansvoorstellingen ‘Less is more’ in de Stadschouwburg Groningen,
kwamen de Nieuwe Directeur van het NoorderzonFestival en ik elkaar in een lokaal cafe tegen.
Wij deden beiden een stevige poging om met elkaar in gesrek te komen.
Maar al heel snel bleek dat niet te lukken.
Ons beider communicatieve vaardigheden liepen behoorlijk uiteen.
Youtube
De wonderjaren
Stil Face Expiriment.
***********************************************
Zaterdag 15 November 2025 – 14:03 uur
VONNIS ‘KIKI PLATAAN‘
Inkomst van Sinterklaas.
Zojuist – zaterdagmiddag – donderde de brief (d,d, 11 November 2025)
van de Rechtbank Gronngen (= Casino Noord) door de brievenbus.
De ‘Kiki Plataan’ en ik hebben de ’10 cm Kit zaak’ verloren.
Dat is wel duidelijk.
Mr. R.Bootsma / link heeft zich pittig in haar tekstvonnis uitgeleefd.
Het vonnis (11 november 2025) is op 17 Novemebr 2025 nog niet gebpubliceerd. / link
Ik lees – in het weekend – altijd alleen maar de laatste pagina van een vonnis.
Ik ga – ter afkoeling – maar even naar een vriend die ALLES van aardbevingen weet.
Maandag (17 November 2025) lees ik het vonnis wel geheel en zeer gedelijk.
*******************************************************************
14 November 2025 21:38 uur.
Perplexity heeft mij een nieuw woord geleerd: Onmissiedelict / link
Al 15 jaar is er een Ambtenaren Contact Verbod zonder beleid.
***************************************************
14 November 2025 20:42 uur.
Iemand heeft mijn hulp ingeroepen wegens een kapaanvraag van een meerstammige (3 stammen) Boom.
Nu stelt Perplexity dat een 3 stammige (monumentale) Boom niet wordt beoordeeld als 3 (monumentale) Bomen. Maar al 1 (monumentale) Boom.
In mijn ogen is dat weer een een voorbeekld van aan te vechten juridische onbenulligheid.
Immers, het gehele Boomvolume en het gehele ecosysteem wordt overduidelijk bepaald door de 3 stammingheid!
Bovendien kan het voorkomen dat twee stammen van de drie stammen het niet redden, maar een stam wel.
1 kapaanvraag voor een 3 Stammige Monumentale Boom is dus: juridische onzin.
****************************************************
12 November 2025 – 21:42 uur
Amsterdamse Ombuds rel is over gevlogen/link. Groninger Omuds rel is nog aanwezig! Ik Albert Heidema van ons land ons lu (Appingedam verwachtte al een grote bevingklap!
12 November 2025 – 19:31 uur
TROUW vandaag pagina 3.
“Ruzie Halsema met ombudsman wordt landelijke rel.”
Ik lees met extra veel belangstelling wat er in Amsterdam gaande is. Ik wil dat met Nei Begin Geld – de Lokale Groninger Ombuds een frisse update krijgt. De Grote Stad Groningen heeft namelijk GEEN Integriteits Bureau!!!! Sterker: Dit Groningere Ombuds hulpinstituut heeft zelfs GEEN interne klachtenprocedure. (Tot verbazing van de Nationale Ombuds.)
Ik ken het Amsterdamse Onderzoek niet. Maar deze zaak is simpel. Als ‘de belanghebbende klagenden’ wel tevreden zijn, dan is het een goed onderzoek. Als het Amsterdamse Politieke Bestuur niet tevreden is met antwoorden van het Ombuds onderzoek, dan dient niet het Ombuds onderzoek te worden doorgelicht, maar dan dient het Amsterdamse Bestuur te worden onderzocht.
Zijn echter ook de ‘belanghebbende klagenden’ niet tevreden met het onderzoek, alleen dan is stevig en diep spitten ‘in hoe en waarom’ wenselijk en nodig!
Even inzoomen naar het updaten van de Goninger Ombuds:
- Stevige Verruiming van de bereikbaarheidstijden. Dit hulpinstituut is slechts bereikbaar van Maandag tot en met Donderdag van 09:00 – 12.30 uur.
- Als men belt in openingstijden is vaak de voicemail erop.
- Bij inspreken is het onbekend wanneer er wordt teruggebeld.
- Het conceptverslag wordt niet voorgelegd.
- Jarenlange – chronisch – weigering om bij B&W na te vragen wanneer het aan de Lokale Ombuds toegezegde beleid van de Enige Contact Ambtenaar nu eindelijk eens komt.
*
“Door mijn vragen – Maandagochtend 10 November 2025 – blijkt dat de Lokale Ombuds Groningen een zeer belangrijke spil is in het instand houden van de Enige Contact Ambtenaar: Zonder beleid. Terwijl dit Lokale Groninger Ombuds instituut al jaren bekend is met het naakte feit dat ik al ruim 15 jaar een Ambtenaren Contact Verbod heb. De lokale Groninger Ombuds weigerde dus afgelopen maandagochtend alweer om zich in te zetten en aan mij haar hulp te bieden, puur door haar weigering om bij B&W na te vragen wanneer het beleid nu eindelijk eens komt. In mijn visie vertoont de Groninger Ombuds ongekend onprofessioneel gedrag door mij notabene naar de Enige Contact Ambtenaar te verwijzen. Nu dit Groninger Ombuds hulpinstituut GEEN interne klachtencommissie heeft, ga ik er vanuit dat zij, Burgemeester Roelien Kamminga, B&W, en de Groninger Gemeenteraad wanen dat zij allen dat zij er mee wegkomen om niet intern te spiegelen.
Kijk naar een referentie, zoals het Onderzoek Ombudsman Amsterdam / NOS link
Bureau Integriteit Amsterdam / Link
Interne Klachten Procedure medewerkers Nationale Ombudsman / link
Klachten Procedure / link
*****
NU! OLIEBOLLENKRAAM ONDER ‘Kiki Plataan’ VANDAAN!
Verdichting van grond onder Bomen is in stedelijk gebied overbekend probleem. Er is in Nederland veel liefdevolle deskundigheid om dat: te voorkomen. Maar Gemeente Groningen blijft straal treiteren en negeert al die deskundigheid. Zoals tegen beter weten in de Oliebollenkraam van Wiltjer Fogerty ONDER de ‘Kiki Plataan’ met uitlaat IN DE BOOMKROON! Bah! Vies!
Soms helpt lezen:
“Vrede als daad. “ door Willem de Haan. Dienstweigeraar. Op een beginblad staat: “Peace cannot be kept by force; it can only be achieved by understanding.” Albert Einstein
**********************************************************
Mevrouw Kiki;
6 November 2025 – 20.18 uur.
ZWARE KLACHT tegen Burgemeester Roelien Kamminga.
Burgemeester Roelien Kamminga heeft mij een zeer indringende brief geschreven.
Tot op heden weigert zij aan te geven
> of haar brief ter KENNISGEVING kan worden aangenomen
> of dat haar brief een BESLUIT is waartegen ik BEZWAAR kan maken.
Ik ervaar de gehele gang van zaken als doelbewuste geestelijke mishandeling
met zeer ernstige lichamelijke gevolgen – onder andere – voor mijn hersenbeschadiging.
Wij hebben uw klacht ontvangen. Het zaaknummer is 351046-20
***************************
Ik heb gister 11 November 2025 van de Rechtbank Noord Nederland eindelijk de brief gekregen (d.d 4 November 2024), dat de uitspraak van de Kantonrechter in de simpele ‘Kit Kiki Plataan’ zaak is verdaagd tot 2 December 2025. Geen motivatie van uitstel.
Door de uitlaat van WILTJER &FOGERTY zijn er bruine bladeren aan kant van de: Uitlaat In Haar Boomkroon.
MEVROUW KIKI:
De Rechtbank Noord Nederland BELAZERT MIJN Vertrouwen: Alweer en ALWEER !!!
4 NOVEMBER 2025 – 11:19 UUR
Het Casino – Rechtbank Groningen Noord Nederland –
zou volgens de officiele brief van de Kantonrechter, d.d. 8 Oktober 2025,
VANDAAG – 4 NOVEMBER 2025 – UITSPRAAK DOEN.
Ik wilde bij de openbare uitspraak zijn. Dus vroeg ik naar het tijdstip. Mijn nieuwsgierig navragen werd beloond:De Rechter heeft mij niet op de hoogte gebracht dat de uitspraak weer 4 weken is verdaagd: 2 DECEMBER 2025.
Na een LANGE MAAND roekeloos wachten,
meldde de telefoniste van de Kantonrechtbank mij
vanochtend vroeg
heel simpeltjes dat de KantonRechter meer tijd nodig heeft voor het vonnis.
Vragen:
1.
Uitstel van deze SIMPELE KANTONZAAK door de Rechter is opmerkelijk. Toevallig een 1 -2 tje tussen B&W Groningen en de Rechtbank Noord Nederland?
2.
Is deze ‘Kit Kiki Plataan’ zaak misschien vertraagd omdat de Oliebollenkraam van Wiltjer Fogerty alweer – zeer onwenselijk – ONDER de ‘Kiki Plataan’/webcam link staat?
En Mevrouw Kiki door deze ‘Kit Kiki Rechtszaak’ te winnen weldegelijk Belanghebbende zou zijn geworden?
Zij zou dan immers per direct mogen ingrijpen wegens NOOD?!
Perplexity’s visie over deze lokatie / link
3.
Of is het ook de Rechtbank Noord Nederland ineens zo helder dat ook zij begrijp dat AGIN Incasso inderdaad onjuiste info heeft verstrekt?
*
Perplexity AI beoordeelt deze te bizarre gang van zaken. / Link
De relevante verordening voor brandveiligheid in de Gemeente Groningen is de “Verordening brandveiligheid en hulpverlening.”
Hierin worden de taken en bevoegdheden van de brandweer beschreven en het beleid ten aanzien van brandpreventie en brandbestrijding vastgelegd.
Daarnaast is voor het gebruik van bouwwerken, zoals tijdelijke kramen, een vergunnings- of meldingsplicht van toepassing als er sprake is van specifieke risico’s of een groter aantal mensen betrokken is.
Specifiek over het plaatsen van een brandgevoelig object zoals een oliebollenkraam onder een boomkroon, gelden de algemene brandveiligheidsregels uit deze verordening en aanvullende gemeentelijke voorschriften.
Het is sterk aanbevolen om een vergunning aan te vragen bij burgemeester en wethouders en de uitlaat niet in de boomkroon te laten uitkomen, vanwege het mogelijke brandrisico en schade aan de boom.
Samengevat:
- De “Verordening brandveiligheid en hulpverlening” geldt voor brandveiligheid in Groningen.
- Voor tijdelijke kramen kan een gebruiksvergunning of melding vereist zijn.
- Plaats geen brandgevoelig object onder boomkroon en zorg dat de uitlaat niet in de boomkroon uitkomt uit brandveiligheidsoverwegingen.
- Raadpleeg burgemeester en wethouders voor vergunningen en precieze lokale regels.
Deze regels zijn bedoeld om brandrisico’s te beperken en veiligheid voor mensen en bomen te waarborgen.
*
Perplexity Antwoord op vraag over ingrijpen Groninger Brandweer/ link
Het plaatsen van een brandgevaarlijk object zoals een oliebollenkraam onder een kwetsbare, monumentale plataan kan zeker reden zijn voor de Groninger Brandweer om in te grijpen. Monumentale bomen hebben een hoge beschermingsstatus in Groningen vanwege hun historische, ecologische en maatschappelijke waarde.
De gemeente heeft beleidsregels en verordeningen (zoals de Algemene Plaatselijke Verordening Groningen – APVG) om monumentale bomen te beschermen tegen schade, ook vanuit veiligheidsoverwegingen.
De Brandweer kan ingrijpen als er een direct brandrisico bestaat dat de boom en de omgeving bedreigt.
Aangezien een oliebollenkraam een brandgevoelig object is en de kwetsbaarheid van monumentale bomen groot is (waaronder gevoelige wortelzones en kwetsbare kroon), wordt het plaatsen van zo’n kraam onder of nabij zo’n boom afgeraden en kan de Brandweer dit als onveilig beschouwen.
Bovendien is het niet toegestaan dat de uitlaat van de kraam in de boomkroon uitkomt vanwege het extra risico op brand en schade aan de boom.
Dit is in lijn met het beleid dat stelt dat monumentale bomen beschermd moeten worden tegen zowel fysieke schade als brandgevaar, en dat maatregelen genomen moeten worden om veiligheid en behoud van deze waardevolle bomen te waarborgen.
Kortom:
Ja, het plaatsen van een oliebollenkraam onder een kwetsbare monumentale plataan kan de Groninger Brandweer aanleiding geven om in te grijpen vanwege de brandveiligheid en bescherming van de boom.
*****************************************************************
3 November 2025 – 12.00 uur en 15 14:48 uur
Vanochtend en vanmiddag is Mevrouw Kiki alweer mishandeld.
Zij heeft 14 electroshock’s gehad en heeft daardoor een hersenbeschadiging opgelopen.
> Sindsien mailt zij met: HELEMAAL NIEMAND!
> Twee Telefonisten weigeren: haar door te verbinden met de Gemeenteraads Griffier. (*)
> Twee Telefonisten eisen: dat ze mailt naar de Enige Contact Ambtenaar.
(*)
Mevrouw Kiki wil a.s. Woensdag 5 November 2025 inspreken bij het onderwerp Stadshavens / link.
Het is zeer raadzaam dat ieder, die een 14050 telefoongesprek heeft: dat opneemt!
Ondanks dat Mevrouw Kiki steeds weer duidelijke uitleg geeft,
zelfs via het voorbeeld van ‘ Ik heb die benen niet!’
hielt ook de tweede telefoniste strak vol dat ze toch: moest mailen.
Na deze zoveelste diepe kwetsing leverde dat dus haar uitspraak naar de telefoniste op:
“Je bent STOM !!!!”
Er is namelijk ook een grens aan vernedering door ambtenaren.
Hoe zou het nou toch komen dat BURGERS BOOS zijn of worden????
Mijn klacht hierover is geregistreerd: Het Zaaknummer is 346497-2025.
****
Perplexity / link
“De huidige situatie binnen de Gemeente Groningen, waarbij één Enige Contact Ambtenaar tevens fungeert als klachtenfunctionaris én kwartiermaker, is bestuurlijk onwenselijk en in strijd met basale principes van goed bestuur en integriteit.
Het ontbreken van een duidelijk beleidskader voor deze rol en het samenkomen van meerdere functiebelangen in één persoon brengt risico’s met zich mee op het gebied van onafhankelijkheid, transparantie en controleerbaarheid.“
Perplexity / Antwoord.
“Mevrouw Kiki kan verschillende civiele procedures tegelijk starten tegen de burgemeester, gericht op het aanvechten van de opgelegde contact- en gebouwverboden,
de schending van haar rechten en het ontbreken van een juiste procedure.“
Perplexity / Info.
Over ingrijpen wegens de willekeur van handelen.
*********************************************************
31 Oktober 2025. 13:10 uur
Mevrouw Kiki,
Boombeschermvrouwe Stad Groningen:
“Groninger Burgemeester Roelien Kamminga
Struikelt over Oliebollenkraam !
Die Oliebollenkraam is ALWEER
geplaatst ONDER de beroemde ‘Kiki Plataan’ Grote Markt Groningen.”

EET GEEN OLIEBOLLEN OP DE GROTE MARKT!
De door 3000 Stadjers GEREDDE Groninger ‘Kiki Plataan’ in gevaar.
Door zeer ongewenste plaatsing en de uitlaat van Oliebollenkraam van Wiltjer Fogerty.
Er is nog geen foto die aantoont dat de UITLAAT ook dit jaar, du s alweer IN DE BOOMkroon uitkoomt.
Links ziet u het Groninger Stadhuis.
Burgemeester Roelien Kamminga en de Groen Wethouders kunnen dus dagelijke hun falen zien.


Kirlian foto van een blad.
Perplexity / link
Er is nog veel meer mogelijk! / link
**************************************************************
31 Oktober 2025
Zie webcam Grote Markt Groningen / link!
Perplexity / link
Nog meer Perplexity / Link
SPOED SPOED SPOED SPOED SPOED SPOED SPOED SPOED SPOED
Aan Burgmeester Roelien Kamminga en B&W,
Ik mag van u allen niet naar 14050 bellen.
Daarom doe ik op deze wereldwijde noodzakelijke wijze een beroep op u.
Tevens heb ik een klacht ingediend!
Ik verzoek u om met SPOED de POLITIE in te schakelen om per direct de Oliebolenkraam Wiltjer Fogerty op de Grote Markt te sluiten.
En hen een boete op te leggen.
En dat u zich inzet voor democratie en recht inplaats te zwichten voor hun MACHTSVERTOON!
Van meerdere Groninger ondernemers heb ik vernomen dat hun openingsdatum 1 november 2025 is!
Ook Perplexity AI verwijst naar 1 NOVEMBER 2025 als openingsdatum.
Ondanks dat in het Groninger Stadhuis, dat zo extreem dichtbij is,
en u allen mijn inzet al 30 jaar lang voor het behoud van deze bekende ‘Kiki Plataan” kent,
geef ik u mee dat u stelselmatig de kwetsbaarheid van deze Boom,
de inzet van 3000 Stadjers die met mij deze ”Kiki Plataan’ hebben gered, en ook mij negeert.
Ik verwacht van u een Professionele Boombinnende houding.
PER DIRECTE verwijdering van deze Oliebollenkraam ONDER deze ”Kiki Plataan’
VANDAAN is eveneens: NOODZAKELIJK!
*
De positie van mevrouw Kiki /link
kan worden omschreven als problematisch en kwetsbaar binnen het gemeentelijke systeem, mede omdat er al ruim 15 jaar geen expliciet beleid is voor de werkwijze van de enige contactambtenaar die zo veel invloed heeft over de toegang tot en communicatie met de gemeente voor stadjers.
Wanneer een contactambtenaar zonder duidelijk beleidskader een bijna almachtige rol vervult over inwoners, en dit gecombineerd wordt met langdurige contactverboden en een gebrek aan transparantie of evaluatie, ontstaat er een grote machtsongelijkheid.
Mevrouw Kiki bevindt zich daardoor in een positie van institutioneel gemarginaliseerde burger die afhankelijk is van een onduidelijk en mogelijk willekeurig functioneren van deze ambtenaar.
Haar stem en positie worden hierdoor ernstig verzwakt, wat kan worden gekarakteriseerd als een vorm van bureaucratische onderdrukking of systemische uitsluiting.
Samengevat:
Zonder helder beleid en waarborging van rechten en procedures, staat mevrouw Kiki in een afhankelijkheidsrelatie waarin zij in praktijk weinig tegenmacht heeft tegen de almacht van deze ambtenaar.
Haar positie is daardoor onwenselijk kwetsbaar binnen het bestuurskundig systeem. Dit benadrukt de noodzaak van beleidsontwikkeling en transparantie rondom deze cruciale rol binnen de gemeente.
******
31 Oktober 2025.
Persbericht.
“Groninger Burgemeester Roeline Kamminga
Struikelt over Oliebollenkraam !
Die is geplaatst ONDER de beroemde ”Kiki Plataan’ Grote Markt Groningen.”
Zie webcam Grote Markt Groningen / link!
Perplexity / link
Nog meer Perplexity / Link
Verslag klachten 2024 – Bijlage III. Het is mij duidelijk. Ik val al ruim 15 jaar buiten die info / link
Gegeiseld door het systeem / link
Al jaren lig ik in onmin met Burgemeesters, B&W, Gemeenteraad en Ambtenaren.
Ook al jaren probeer ik HEN en IEDEREEN uit te leggen dat Bomen kwetsbare entiteiten zijn.
Vorig jaar flikte Een Ambtenaar het om de Oliebollenkraam van Wiltjer – Forgerty
ONDER de Boomkroon te plaatsen.
MET DE UITLAAT IN DE BOOMKROON!!
DIT JAAR IS HET ALWEER EXCACT HETZELFDE GELAZER.
Nogmaals:
Bekijk de webcam !!!
Ik ga mij beramen hoe ik dit gedonder op professionele wijze kan afhandelen.
Desnoods met juridische inzet.
In ieder geval zal het -zeer waarschijnlijk – uitdraaien op actievoeren bij deze Oliebollen kraam.
*
Omdat Perplexity AI / link helder en duidelijk het onfprofessionele gedrag en het wenselijke gedrag van deze problematiek weergeeft, schenk ik hun gehele visie:
Mijn vraag:
Mag een oliebollenkraam, wat en brandgevoelig object is,
ONDER de kroon van een Monumentale BOOM worden geplaatst?
Met de UITLAAT IN de BOOMkroon?
Antwoord:
Het is doorgaans niet toegestaan om een oliebollenkraam, of een ander brandgevoelig object, onder de kroon van een monumentale boom te plaatsen, en zeker niet met de uitlaat in de boomkroon zelf.
|it verbod geldt vanwege strengere beschermingsregels voor monumentale bomen, waarbij het beschermen van de kroon, wortelzone en de omgeving van de boom centraal staat.
Redenen voor het verbod
Gemeenten hanteren vaak boombeschermingszones, die minstens de kroonprojectie (de schaduw van de kruin op de grond) plus extra ruimte beslaan.
In deze zone mag geen materieel, zoals een oliebollenkraam, worden geplaatst om bodemverdichting en schade aan wortels, stam en kroon te voorkomen.
Bovendien vormen brandgevaarlijke objecten, zoals oliebollenkramen met een uitlaat, een extra risico voor monumentale bomen en hun omgeving.
Juridische en vergunningsaspecten
Lokale verordeningen en de bomenverordening verplichten handhaving van deze zones en vereisen een omgevingsvergunning voor bouwwerken of standplaatsen in de nabijheid van samengestelde bomen, met extra beschermingsmaatregelen voor monumentale exemplaren.
Vergunningen worden doorgaans geweigerd als het plaatsen van een kraam het behoud, de gezondheid, de veiligheid of de historische waarde van de boom in gevaar kan brengen.
Praktische norm
Boomverzorgers hanteren veelal als norm dat geen objecten binnen de kroonprojectie (of zelfs daarbuiten, tot anderhalve à twee meter extra) geplaatst mogen worden.
Kramen en andere inrichtingen dienen buiten deze beschermingszone te blijven, met additionele eisen voor brandveiligheid en rookafvoer weg van de boomkroon.
Conclusie
Een oliebollenkraam mag dus niet onder de kroon van een monumentale boom worden geplaatst, vooral niet met de uitlaat in de boomkroon.
Raadpleeg altijd lokale bomenverordeningen, vergunningseisen en beleidsregels, want overtreding kan leiden tot handhaving en boetes.
****
Vraag:
Van welke excacte datum mag deze Oliebollenkraam open?
Er is melding van 1 november 2025.
Terwijl de Oliebollenkraam nu al pen is open is op 31 Oktober 2025
Antwoord:
De exacte datum waarop de Oliebollenkraam Wiltjer Fogerty op de Grote Markt in Groningen officieel open mag, is doorgaans in lijn met de gemeentelijke vergunningen en het landelijk beleid voor winterstandplaatsen—vaak op 1 november van het betreffende jaar.
Volgens meldingen mag de kraam in het seizoen 2025 vanaf 1 november open zijn.
Het feit dat de kraam nu op 31 oktober 2025 al open is, wijkt af van de gebruikelijke vergunningsvoorwaarden en kan dus betekenen dat er in dit geval sprake is van een vervroegde opening, mogelijk door coulance van de gemeente, administratieve afwijkingen, of een vergissing.
Echter, de officiële standplaatsvergunning voor oliebollenkramen op de Grote Markt in Groningen gaat normaliter per 1 november in en niet eerder.
Het “open zijn vóór de vergunningsdatum” kan in principe leiden tot een waarschuwing of handhaving door de gemeente als het niet expliciet is toegestaan.
Kort samengevat:
De officiële datum van opening is 1 november 2025, en openstelling op 31 oktober valt buiten de normale voorwaarden en vergunning, tenzij er een ontheffing is verleend.
*
Verdieping van Perplexity / link
Het openen van de Oliebollenkraam Wiltjer Fogerty op de Grote Markt te Groningen vóór de vergunde datum (1 november 2025) is in principe een overtreding van de verleende standplaatsvergunning en het lokale beleid van de gemeente Groningen.
Dit houdt in dat de kraam niet mag open zijn vóór de startdatum zoals vastgesteld in de vergunning—openstelling op 31 oktober is dus niet toegestaan zonder extra toestemming of ontheffing van de gemeente.
(meer in de link)
De Oliebollenkraam Wiltjer Fogerty op de Groninger Grote Markt is al decennialang een vaste en zeer bekende traditie in de stad, en de eigenaar is goed bekend met de vergunningsvoorwaarden.
Het besluit om vervroegd open te gaan wordt door veel Stadjers ervaren als een vorm van machtsvertoon en als een teken van weinig respect richting zowel het stadsbestuur, burgemeester Roelien Kamminga als richting mevrouw Kiki, die zich al jaren inzet voor het behoud van de monumentale ‘Kiki Plataan’.
(meer bij de link)
*************************
29 Oktober 2025
WEG MET DE LANTAARNPALEN ROTZOOI OP HET ZUIDERDIEP (GRONINGEN).
De HUIDIGE B&W heeft het geflikt om het Groene Beeld van het Zuiderdiep te slopen /link.
Voor de zoveelste keer laat B&W Groningen zien dat ze compleet maling heeft aan de intrinksiek sfeer van Bomen.
B&W heeft het geflikt om op het historische Zuiderdiep ELKE lantaarnpaal vol te hangen met een beeld van de MARTINITOREN + FORUM RERCLAME!
Geen Boom kan zich verzetten tegen die rotzooi in en nabij hun Boomkroon.
Geen Stadjer dringt door bij Groninger Politici.
Wanneer ontploft de politieke ballon?
En mogen Stadjers leven in Mooi en Respectvol Groningen!
*****************************************
29 Oktober 2025
MOET DE HOOGBOUW VAN ‘VRIJDAG’ WORDEN GESTOPT?!
Gister leverde ik, aan de balie van het Provinciehuis in de Sint Janssstraat te Groningen,
mijn brief in, welke is gericht aan de Minister van Binnenlandse zaken.
Ik wil dat de Minister van BZK eindelijk gaat ingrijpen in de slepende zaak die de Groninger Burgemeesters, B&W’s en Gemeenteraden al ruim 15 jaar tegen mij hebben.
Een afschrift van mijn brief aan de Minister van BZK is dus ook aar Gedeputeerde STaten en naar Provinciale Staten.
Om bij de ingang van het Provinciehuis te komen moest ik over/door een ongelooflijke partij zwerfafval klauteren.
Ooit had deze monumentale Sint Jansstraat een heel aangenaam windklimaat.
Dat is heel bijzonder voor steden.
> Maar door de HOOGBOUW van het Groninger Forum werd het windkilimaat: NEGATIEF.
> Door de hoogbouw van ‘VRIJDAG’ is het in het gehele gebied: GUUR geworden.
Ik ga er 100% vanuit, dat de projectontwikkelaars van ‘VRIJDAG’, B&W Groningen, de Groninger Gemeenteraad en de Provinciale Staten allen hebben nagelaten om het Forum windhinder onderzoek, bij het ‘VRIJDAG’ ontwerp mee te nemen.
Indien zij dat namelijk wel hadden gedaan, dan zou het nieuwe pand van ‘VRIJDAG’
een totaal andere vorm hebben gekregen.
Dan was de vorm nadrukkelijk aan het FORUM windhinderrapport aangepast.
Het FORUM windhinder onderzoek is uitgevoerd door de deskundige Arjan Pleysier (ingenieursbureau Cauberg-Huygen) / link
Inmiddels rijst voor velen de vraag:
Hoe ONVEILIG is de wind – bij de ingang – van de FORUM Fietsenkelder????

Ook de ZON is pleite !!!
*******************************************************
27 Oktober 2025 – 16:56 uur.
Ik heb – vandaag – DE brief naar de Minister van Binnenlandse Zaken op de post gedaan.
Met het dringende verzoek – om per direct in te grijpen.
Wegens het voortdurende onrechtmatige handelen naar mij.
Door de Groningse Burgmeester Roelien Kamminga.
********************************************************
27 Oktober 2025 – 16: 54 uur
Financieel Dagblad kan Fout Rekenen
Twee redacteuren van het Financieel Dagblad maken GROTE stikstof Kaptitale Rekenfouten in hun artikel d.d. 25 Oktober 2025 (pag 5)
De kop van hun artikel: ‘Versoepeling VERDUBBELT stikstofuitstoot.’
In mijn visie is verdubbeling heel simpel te berekenen: van 1 naar 2 of van 2 naar 4 enz.
Maar het FD artikel beweert dat verdubbeling van de stifstofdrempel is:
Van > 0,005 mol per hectare per jaar > 0,5 mol per hectare per jaar!
Dat is volgens mij: 100 x zo veel.
Dat is volgens mij: 100 x zo veel.
Dat is volgens mij: 100 x zo veel.
Stikstofhumor:
Een burger maakte van het Stikstofdrama er in de zaterdag Volkskrant deze grap van:
“Als eerst de norm was: 1 misdadiger > 1 dode,
Dan zijn er bij de norm verhoging 1 misdadiger > 200 (!) doden
ineens VEEL MINDER misdadigers!
Perplexity AI.
Over Stikstof.
Dus Relatief veel Meer Koeien in Klein Nederland dan in Groot Duitsland.
******************************************************
25 Oktober 2025 15:54 uur:
BINNENKORT DE KWAST OVER DE KERKLAAN?
De meeste stoepen zijn van grijze betontegels.
Dat wandelt AANGENAAM neutraal.
Nu wil B&W de Kerklaan te Groningen HELEMAAL ROOD maken.
Jawel: De stoepen EN de rijbaan.
Maar….
Het nu kers vers gelegde kleine stukje RODE stoep – bij de PLUS SUPERMARKT,
vind ik al onaangenaam – TE OPDRINGERIG – om over te lopen.
Dus dacht ik:
Wat is het effect op wandelaars van: GRIJZE OF GELE OF RODE stoepen?
HET EFFECT VAN KLEUREN / LINK
Perplexity AI geeft een antwoord/ link
***********************************************
25 Oktober 2025 14:55 uur
Terwijl Artis Amsterdam doelbewust het licht uit doet, juist voor de dieren,
Blijkt dat in de Stad Groningen elk milimeter groen door ‘ON-Sportivo’s’ wordt vernield.
Nightrun/ link
Artis Donker ! / link
*
https://zoek.officielebekendmakingen.nl/gmb-2024-547624.html
https://indebuurt.nl/groningen/doen/wintergoud-groningen-2025-kerstmarkten-een-ijsbaan-en-winterse-gezelligheid~317017/
Ik heb zojuist via de website van de Germeente Groningen een klacht ingeleverd.
Omschrijving van de klacht:
KLACHT!
Tegen Burgemeester Roelien Kamminga.
> Waarom is de info tot / met 14 december 2025?
> Waarom kan ik de aanvraag van de vergunning en de verleende vergunning
voor WINTERGOUD 2025 NIET vinden?
> Terwijl de lokale kranten zich daarover al vol schrijven?
Is dit soms alweer de zogenaamde ‘Noorderzon procedure’ ?
Van: Het veel en veel te laat documenten inleveren van documenten en ieders bezwaar pas maanden na het evenement afhandelen?
*************
23 Oktober 2025 20:37 uur
Ik probeerde zojuist aan de heer Johan Remkes (boekhandel van de Velde) uit te leggen dat ik snak naar een juridisch bypass systeem: nu de politiek faalt. Burgers kunnen namelijk niet meer – zoals van ouds – terecht bij de (lokale) politiek. Daardoor zijn de juridisch geschoolde Verenigingen en Stichtingen hun vangnet geworden. Een goede AI is daarbij hun grote hulp. Hij was het niet met mij eens.
*************
Donderdag 23 Oktober 2025
Op 4 november 2025 doet de Rechtbank Noord Nederland een belangrijke Kantonuitspraak.
Ik word al langere tijd door B&W en Agin Incasso achterna gezeten met ‘vermeende schade’ rekeningen.
Die rekeningen treffen niet mij, maar zijn voor de eigenaar van deze Plataan:
De Gemeente Groningen.
Ik heb slechts de ‘Kiki Plataan’ op de Grote Markt te Groningen gered,
Door 10 centimeter kit te verwijderen.
De ‘Kiki Plataan’ dreigde weg te rotten en te verdinken.
Er zijn dus GEEN: SCHADE rekeningen.
MAAR: REDDING rekeningen.
PERPLEXITY GEEFT DE GANG VAN ZAKEN GOED WEER!
Al decennia lang zet ik mij in voor het behoud van Bomen in de Stad Groningen.
Desondanks verbiedt B&W mij al jaren – sinds 2010 – contact te hebben met ambtenaren, waar onder de Gemeentelijke Boomexperts.
Trouw -20 juli 1999 / link gaf in 1999 een mooi verslag over mijn inzet en de jurisprudentie.
Paul Burm, voormalig Gemeentelijk Boomexpert, raakte bij mij een snaar.
Hij zei tegen mij:
“Het is vreemd. Als JIJ samen met je Partner aan de Oranjesingel woont:
Jij ziet de Bomen wel, maar je Partner is Blind en ziet dus de Bomen niet.
Dan ben JIJ wel belanghebbende bij kap, maar je Blinde Partner is geen belanghebbende bij de Bomenkap.”
Mr. Gerard Breuker pakte mijn inzet op!
Ik heb diep respect naar visie en denkwijze.
Mr. Gerard Breuker bedacht: Het Omgeving Criterium.
Voor onze inzet waren blinden nooit belanghebbend bij het kappen van Bomen:
Zij zagen immers de Bomen vanuit hun huis nooit!
Het was onbegrijpelijk, maar tot onze inzet waren ziende burgers belanghebbend bij het kappen van Bomen.
En alleen als men hun geliefde Bomen: VANUIT HET WOONHUIS KON ZIEN!
Vanuit de zolder van mijn Schipperswoning kon ik een klein stukje van de toppen van de Noorderplantsoen Bomen zien.
Maar dat was volgens de Voorzieningen Rechter: ONVOLDOENDE!
Door het Omgevins Criterium van Mr. Gereard Breuker werd iedereen belanghebbend, die binnen 100 meter van de Bomenkap woont.
De grens lag bij 100 meter, omdat ik 100 meter van het Noorderplantsoen woon.
<><><><><><><<><><><><><><><><><><><><><><><><>
****************************************
Dinsdag 21 december 2025
Er bestaan verhelderende websites / zuiverbelang – link
Alleen al de foto is een snoepje voor kritische burgers….
*****
Maandag 20 Oktober 2025
Dames en Stoepkrijt / link
Ik heb een knetter vette – onterechte – bekeuring gekregen vanwege stoepkrijt:
bij Bomen die in gevaar waren.
De Groninger City Club had illegaal zware licht-eieren in de Monumentale Bomen gehangen.
De boete is 250,= voor het schoonmaken door de Milieudienst / link
De Ambtenaren waren onaanspreekbaar!
Dus moest ik zelf met stoepkrijt aandacht vragen.
Desondanks greep B&W niet in en bleven de schade veroorzakende Kerst Licht Eieren in de Bomen hangen.
Op 4 november 2025 doet de Rechtbank Noord Nederland uitspraak.
*****
Maandag 20 Oktober 2025 – 15.07 uur
De Rechtbank Noord Nederland heeft mij laten weten dat de Kantonrechter
op 4 November 2025 uitspraak doet over de ’10 centimeter Kit bij de Kiki Plataan.’
Ik heb er geen enkel vertrouwen in dat de Kantonrechter een heldere uitspraak doen.
De twee zittingen, de beide zittingsverslagen, de afwijzing van twee wrakingsverzoeken,
en de onjuiste inbreng van AGIN Incasso maakt deze Rechtszaak, in mijn visie, tot een erg vuil spel.
*
Net als haar voorgangers weigert de verse Burgemeester Roelien Kamminga elk gesprek.
Zij is dus niet oplossing bereid.
*
Sterker, ZE heeft – te bizar voor woorden – zeer onlangs in een brief aan mij – als OPRECHTE ATHEIST –
zonder hoor en wederhoor.
een zogenaamd ‘zorgaanbod’ gedaan voor 3 maanden begeleiding van:
HET LEGER DES HEILS!
*
Daarom heb ik afgelopen Vrijdag 17 oktober 2025 – via een klachtenformulier –
de voltallige Groninger Gemeenteraad verzocht om te BESLUITEN
om een Integriteit Onderzoek te laten uitvoeren door Bureau Bing / link.
*
Ik ben van mening dat – achter de schermen – Burgemeester Roelien Kamminga en het voltallige B&W al ruim 15 jaar nalatig zijn en blijven in het opstellen van beleid aangaande het Ambtenaren Contact Verbod.
Met alle gevolgen van dien.
En dat allen – niet alle integriteitregels doorlopen – maar deze al jarenlang negeren.
*
Afgelopen zaterdag zag ik – in een restaurant in de verte – in het de voormalige Gemeentesecretaris Christien Bronda.
Enkele maanden voor haar afscheid ontving ik van haar een dreigbrief.
Ik had namelijk vernomen dat zij haar bijbanen niet op de Gemeente Groningen website had vermeld.
Omdat ik dat had gecontroleerd was zij woedend.
*
Naar aandleiding van die herinnering telde ik vanochtend – binnen 5 minuten en uit het blote hoofd – dat in de afgelopen 15 jaar – er in iedergeval maar liefst
minimaal 33 (top) ambtenaren zich met mij bezig hebben gehouden.
Ik heb al die jaren GEEN ENKELE Gemeentelijke Boomdeskundige kunnen spreken.
Ondanks al mijn inzet!
Zonder een hoor en wederhoor.
Zonder beleid.
*
Vanaf Burgemeester Peter Rehwinkel zijn dat:
Kommissaris van de Koning,
Burgemeesters / link
Wethouders,
Gemeentesecretarissen / link
Gemeenteraad Griffiers,
Klachtenfunctionarissen,
Diverse Enige Contact Ambtenaren,
Woordvoerdes van Burgemeesters,
(Top) ambtenaren van diverse afdelingen,
Lokale Ombusen / link
GGD.
***
De heer Mark van Weeren van advocatenkantoor Blenheim / link verwijst naar een situatie waarbij een burger alles had geprobeerd, maar waarbij niets werkte.
En dat die burger dus – uiteindelijk – de pers benaderde.
Pas daarna werd er door de betrokken Gemeenteraad een integriteitsonderzoek aangevraagd bij BING.
Het inschakelen van BING is ook in al mijn zaken: nodig!
Ik heb vandaag de Gemeenteraad verzocht om te BESLUITEN om een integriteitsonderzoek door Bureau Bing te laten uitvoeren.
Citaat Mark van Weeren:
“Wanneer niets werkt, kan media aandacht worden gevraagd, zie bijvoorbeeld:
uitspraak LJN: BD2201 over civiel aansprakelijkheid van een ambtenaar.
Civielrechtelijk conflict met burger die ook wethouder is.
Media aandacht gezocht.
Media-aandacht zoeken is niet onrechtmatig, te meer omdat hij vele andere stappen ervoor had doorlopen. Aangifte bij politie werd (en kon) niets mee (worden) gedaan, burgemeester en gemeenteraad aangeschreven zonder reactie, ook bij de ombudsman vond hij geen ingang, waarna hij pas naar de pers is gestapt. Na perspublicatie heeft de gemeente bureau BING ingeschakeld.”
*******************************
Woensdag 15 Oktober 2025 – om 16.00 uur Gemeenteraad!
Ik kom niet.
Ik heb – zonder hoor en wederhoor – voor alle Groninger Gemeente Gebouwen een pandverbod.
Dus ook voor het Groninger Stadhuis.
Ik vind dat veel besluiten, ook tegen mij , op ‘onsportieve wijze’ worden genomen:
De Groninger Gemeenteraad neemt VANMIDDAG meerdere onsportieve besluiten.
Wat is – Blubber to Blubber – Groenplan SIF / Perplexity link ?
Wat dacht u van de agenda, met onder amdere:
-> punt 3f: Raadsvoostel 301747-2025 : Zo GEHEIM dat er GEEN document bij zit!
-> Geheimhouding
a. >> Financien Stadshavens?
De WOO Betonbos is geheim…..
Zwaar verdacht!
B&W’s Motivatie:
We stellen voor de geheimhouding niet op te heffen omdat er op dit moment nog steeds sprake is van bedrijfs- en fabricagegegevens die vertrouwelijk aan de overheid zijn verstrekt.
De partijen hebben destijds de bedrijfsinformatie vertrouwelijk aan de gemeente Groningen verstrekt en mochten en mogen ervan uitgaan dat de
gemeente het vertrouwelijke karakter niet doorbreekt.
Mogelijk hadden zij anders ook niet meegewerkt.
Niet uit te sluiten valt dat zich in de toekomst opnieuw situaties voordoen waarin deze partijen gegevens vertrouwelijk aan de gemeente Groningen verstrekken.
Door nu het vertrouwelijke karakter daarvan te doorbreken, bestaat de kans dat derden
in de toekomst niet mee zullen willen werken.
Daarom is het van belang de geheimhouding niet op te heffen.
-> Krediet Fietsstraten
b. >> Nu het bij de Kerklaan (Groningen) mis gaat?!
Voor € 1.5000.000,=
wordt de Kerklaan versmalt van buurtstraat naar een levensgevaarlijke fietsstraat.
Stel je koopt aan de deur een staafje goud.
Maar het blijkt blik te zijn: dan ben je opgelicht.
Stel een groep van 10 mensen verkopen aan de deur blik voor goud,
Dan is er in mijn visie sprake van een georganiseerde criminele bende / perplexity link.
Men kan stellen dat 1.500 buurtgenoten (allen zijn belanghebbenden)
€ 1000 euro hebben gegeven voor de veranderingen van de Kerklaan.
Maar zij krijgen never nooit dat wat hen bij de impressie / link is beloofd.
Dus moet men – mijns inziens –
constateren dat de Gemeente Groningen vergelijkbaar handelt
als een criminele organisatie.
Die een gehele woonwijk iets heeft beloofd.
Maar, waarvan het product, nooit wordt geleverd.
Er is dan doelbewust misbruik gemaakt van hun basis vertrouwen.
Ik wilde bij het OM aangifte doen.
Maar het OM stuurt mij naar de lokale Ombuds.
-> Voorbereining Krediet Sint Jansstraat
c. >> Het waait daar ‘plots’: door de Nieuwbouw.
Tumult / link of Trammelant!!! / link
Lokatie is 100% ongeschikt voor taxi’s.
Bij het nieuwe kunstencentrum in Groningen is de naam Tumult bedacht en onthuld door de directie van Kunstencentrum VRIJDAG in samenwerking met de gemeente Groningen.
Dit gebeurde tijdens de viering van het hoogste punt van de bouw op 2 oktober 2025,
met de aanwezigheid van directeuren Pim Luiten (VRIJDAG) en John Ottens (BAM Bouw en Techniek), en wethouders Kirsten de Wrede en Rik van Niejenhuis.
Zij hebben gezamenlijk het besluit genomen en de naam aangekondigd op een vlag tijdens een feestelijke bijeenkomst.
Er is geen duidelijk bewijs dat er vooraf brede inspraak rond de naamkeuze is geweest,
wat deels kritiek heeft opgeroepen in de lokale media.
Een toekomstig heroverwegen van de naam vraagt dus om actieve betrokkenheid van stadsbewoners en de gemeente.
-> Interim Lokale Ombuds
d. >> Heel toevallig heeft de Lokale Groninger Ombuds mij vanochtend gebeld.
Na mijn telefoonbericht aan haar: van 1,5 week geleden.
De Lokale Ombuds verzoekt om de nieuwe maatregelen B&W brief.
Die brief meldt namelijk weer geen einddatum van de maatregelen tegen mij.
Ik geef haar die brief niet.
Het verstrekken van een brief moet strak functioneel en doelmatig zijn.
Het is geen spelletje dosieertje loeren.
In mijn visie faalt de Lokale Groninger Ombuds.
Er is geen vervolg instantie waar de burgers naar toe kunnen.
Na ruim 15 jaar is er NOG STEEDS GEEN BELEID voor het Ambtenaren Contact
Verbod!
Ik vind het onsportief/ perplexity link dat de Lokale Groninger Ombuds,
zelfs na ruim 15 jaar,
al jaren weigert om bij B&W na te vragen wanneer dat beleid komt.
Financieel:
Uiteraard kost een interim weldegelijk meer geld.
Een normale medewerker kost immers minder dan een aanwezige directeur.
************************************************************************************
Maandag 13 0ktober 2025 – 13:24 uur
Geachte Groninger Voltallige Gemeenteraad, en vele anderen.
Ik denk dat het nu de allerhoogste tijd is dat u allen zich op een professionele en chique manier gaan inzetten.
Nog steeds heeft B&W geen beleid voor de enige Contactambtenaar.
Door het ontbreken van beleid komen diverse burgers – bij hun inzet – al jarenlang in de knel.
Het beleid over het Ambtenaren Contact Verbod – inmiddels enkele jaren geleden – toegezegd aan de Lokale Groninger Ombuds.
Het is er dus nog steeds niet.
Met gevolg dat ik al ruim 15 jaar geen contact mag hebben met betrokken ambtenaren.
Bovendien blijkt Burgemeester Roelien Kamminga, net als haar voorgangers,
niet bereid te zijn om met mij om tafel te gaan.
Ondanks de inmiddels zeer lange lijst van problemen.
Ook zij is dus – net als haar voorgangers – niet bereid die serieuse problemen op te lossen.
Sterker, alweer zonder hoor en wederhoor / link, heeft zij onlangs maar liefst 4 personen op mij afgestuurd.
Een Groninger Gemeenteambtenaar, twee leden van het Leger des Heils en een Wijkagent.
Laat ik heel erg duidelijk zijn: Ik ben daar absoluut NIET van gediend.
Haar kers verse brief aan mij, vind ik zeer ernstig grens overschrijdend gedrag.
Ik vind haar brief erg slechte humor.
Zie mijn visie naar Burgmeester Roelioen Kamminga / link.
Wellicht hebben alle Burgemeesters, alle Wethouders, alle Gemeenteraden, alle Ministers, alle leden van de Eerste en Tweede Kamer, De Raad van State, de Nederlandse Rechtbanken, de Lokale en Nationale Ombudsen, de voltallige hoeveelheid Nederlandse Ambtenaren en ALLE Burgers iets aan het volgende inzicht:
Youtube / link
De Wonderjaren.
Het Still Face Experiment.
Dit experiment laat zien dat Boze Kinderen ontstaan als HUN Ouders niet juiste communicatie gereedschap hebben.
Dat zelfde geldt voor Boze Volwassenen die geconfronteerd worden met communicatief Onvaardige Volwassenen.
Dat zelfde geldt helemaal Boze Burgers door Falende Ambtenaren.
Ik richt mij op deze wijze naar u, Groninger Gemeenteraad, omdat ik – zonder hoor en wederhoor – een pandverbod heb voor alle Gemeentelijke Gebouwen.
Een brief aan u allen , in leveren in een Gemeentelijk Gebouw, met ontvangstbewijs is dus onmogelijk.
***************************************************************************************
10 Oktober 2025.
Kees van Kooten en Wim de Bie;
Privacy / link
Onlangs vernam ik dat ‘Straatveger’ en Klokkenluider Henk de Vries / link is overleden.
Ook hij veegde de straat van B&W en de Gemeente aan.
Dertig jaar lang zette hij zit in voor: RECHT.
Ik ben dus simpel weg niet de enige …..
Thies Dijkshuis
Ik kende hem niet.
Maarhij heeft zijn pittige inzet geleverd.
https://www.npodoc.nl/documentaires/2018/01/de-laatste-boer-van-euvelgunne.html
Ik ken alle bovenstaande positivo’s en meerdere ….
Jan en Liefke Munnike
https://dvhn.nl/groningen/Strijdster-van-eerste-uur-voor-de-gasregio-26778364.html
John Lanting
https://miketomalesite.wordpress.com/2017/06/19/actievoerder-john-lanting-boekt-succes-in-rechtszaak/
Leo Nederpel
Zelf de naam intypen.
Leo Nederpel is door de Rechter vrij gesproken.
https://www.dekrantvantoen.nl/srch/query.do?v2=true
Riet Bell
https://www.l1.nl/nieuws/2432882/maasgouw-wil-praten-met-milieu-activiste
Geert Starre
https://www.perplexity.ai/search/wat-weet-u-van-geert-starre-bo-QAIXzNW0RQWli0h8M.DBZw
Trinette Janssen
https://www.perplexity.ai/search/wat-weet-u-over-trinette-janss-BgjhjYpaQ1m3mZHfgDiwmQ
**********************************************************
Kees van Kooten en Wim de Bie hebben meer wijsheid dan Rechtbank Noord Groningen / link
Wrakingskamer Noord Nederlands vertoont alweer ‘Casino Gedrag’.
10 Augustus 2025 – 13:30 uur
Mevrouw Kiki:
“
De echte uitspraak van de Wrakingskamer – ‘Kiki Plataan’ Grote Markt Groningen – 8 oktober 2025 / link !!!
Alweer blijkt de Wrakingskamer van Rechtbank Noord Nederland een Casino te zijn.
Wat denkt u, Stadjers en Nederlandse Juristen, mij kennende:
Is mijn verzoek om wraking gebaseerd:
Op meerdere argumenten of op slechts 1 argument?
*
Al sinds 5 januari 2024 hebben de Groninger Burgemeesters, Wethoudere hun ambtenaren juridisch gedonder met mij.
De Burgemeesters Koen Schuiling, Mirjam in het Veld en Roelien Kamminga vertikken het om even buiten bij de ‘Kiki Plataan’ te gaan kijken en om de zaak Boomtechnisch goed op te lossen.
Ook de Commissaris van de Koning Rene Paas vertikt het om inzet te leveren bij de lijst van problemen.
Het juridische gedonder gaat inderdaad nog steeds over de ’10 centimeter Kit bij de Kiki Plataan’ op de Grote Markt.
Er inmiddels ook een hele echte Kanton Recht-zaak.
Die is door AGIN Incasso tegen mij aangespannen.
De manager AGIN stelt zelfs dat – OOK als ik kan aantonen dat zij fouten hebben gemaakt – zij toch met deze zaak toch door zetten !!!!!
ECHT WAAR!!!!
*
Ik heb door de jaren heen meerdere Recht-zaken bij de Rechtbank Noord Nederland gedaan.
Ik heb alle Recht-zaken verloren.
Ik heb meerdere Wraking verzoeken gedaan.
Ik heb alle Wrakingsvrezoeken verloren.
Ik zal de lijst van mijn argumenten horende bij mijn versoek om wraking zal ik opzoeken.
***************************************************************
10 Augustus 2025
DE GEHELE KERKLAAN – VAN GEVEL TOT GEVEL – WORDT ‘FIETSPAD ROOD!’
STOP LEVENSGEVAARLIJKE VERANDERING
Kerklaan Buurtstraat blijft buurtstraat. Geen naar Fietsstraat naar Zernike!
Slimme fietsroutes naar Zernike
Groningen heeft twee routes die speciaal zijn ingericht om drukte en verkeerslichten te vermijden:
Groningen Bereikbaar is raar bezig en de website schrijft:
Route via het Noorderplantsoen en Park Selwerd
Deze route start vanuit het centrum en loopt via het Noorderplantsoen richting Zernike. Ruime fietspaden en zo min mogelijk verkeerslichten zorgen voor een vlotte doorstroming.
Klik hier voor de route.
Zernike Campus wil groeien.
Maar niet ten koste van omnze woonbuurt.
Ineens is de fietsroute door het Noorderplantsoen – Kerklaan verdwenen / link
*********************************************************
Ik probeer u zo goed mogelijk te informeren.
Maar B&W Groningen doet haar uiterste best om mij 100% de mond te snoeren.
Ik blijf simpelweg doen, wat ik al jaren doe:
“Opkomen voor dat wat IK nodig vind om te doen!”
> 1 . Verkeers Wethouder Philp Broekema
Wethouder Philip Broekema / link weigert elk gespek.
Terwijl de Kerklaan veranderingen levensgevaarlijk zijn.
Ik heb een veelheid aan punten om dat aan te tonen.
Mij is verboden om contact te leggen met de verkeersambtenaren.
Mij werd – door de voorzitter van de de buurtvereniging – verboden om deel te nemen aan de bewoners groep.
B&W en aannemer de Wilde weigeren mij info te geven.
> 2. Burgemeester Roelien Kamminga stuurt nu zelfs Leger des Heils op mij af.
In haar kers verse brief aan mij, vertoont Burgemeester Roelien Kamminga, in mijn visie ernstig grens overschreidend gedrag.
Ik vind haar gedrag erg slechte humor.
Zie mijn visie naar Burgmeester Roelioen Kamminga / link.
> 3. Ambtenaar Contact Verbod (A.V.B.):
Al ruim 15 jaar is durende Ambtenaren Contact Verbod gaande.
-> Zonder beleid.
-> Zonder hoor en wederhoor.
*
Voorafgaande aan het Mega Noorderzon 2025 vertelde een evenementenambtenaar
mij dat deze ruim 15 jaar durende maatregel per 1 juni 2025 was opgeheven.
En dat ik ook met de Bomenafdeling contact mocht hebben.
Dat contact is nooit tot stand gekomen.
Het opheffen van het Ambtenaren contact verbod bleek een ‘illegaal’ te zijn:
Ik wist van niks!
De telefoniste van 14050 zei: De maatregel is ‘verlopen’.
Ondanks mijn meerdere verzoeken om daarvan de schriftelijke bevestiging te krijgen, heb ik die nooit gehad.
Inmiddels blijkt de A.V.B er weer op te zitten.
Weer zonder hoor en wederhoor.
De Gemeente Groningen alom bekend dat ik een – Oprechte Atheïst / link – ben.
Nederland is een Algemene Rechtsstaat.
Met duidelijke scheiding tussen Politiek en Kerk,
Voor mij is het duidelijk, dat Burgemeester Roelien Kamminga geen enkele van de vele onderwerp die ik heb aangedragen, wil oplossen.
Sterker, Burgmeester Roelein Kamminga stelt – in haar brief onlangs aan mij –
dat ik mijn verzoeken om Gemeente Groningen info:
– alleen kan indienen via hulp en bemiddeling van het Leger des Heils (echt waar !!!!!)
– dat de medewerkers van het Leger des Heils – samen met mij –
vervolgens de enige contactambtenaar benaderen.
> 4. Burgemeester Roelien Kamming:
Mijn reactie naar Burgemeester Roelien Kamminga / link:
Ik heb al maandenlang – meerdere keren – naar Burgemeester Roelien Kamminga aangegeven dat ik met SPOED met haar in gesprek wil.
Wegens een veelheid aan onderwerpen.
Burgemeeester Roelien Kamminga heeft nooit op mijn verzoeken gereageerd.
Ik heb mondeling – via een telefonist – haar afwijzing gehad.
> 5. Gebouwverbod voor alle Gemeente Gebouwen:
Uit de kers verse brief – namens – Burgemeester Roelien Kamminga
blijkt:
– weer zonder hoor en wederhoor
– dat ik sinds eind Augustus 2025
een gebouwverbod heb voor alle gebouwen in de Gemeente Groningen.
Dit heb ik in mijn gehele loopbaan nog niet meegemaakt.
> 6 . Lokale Ombuds:
Er is al ruim 15 jaar is er geen beleid voor het Ambtenaren Contact Verbod.
B&W heeft 3 jaar geleden naar de Lokale Ombuds toegezegd dat B&W bezig is met het opstellen van beleid en dat beleid er aan komt…..
De Lokale Ombuds en B&W konden niet zeggen wanneer dat beleid zou komen.
************************************
BELANGRIJKE INFO ‘BUURTSTRAAT KERKLAAN’ BLIJFT UIT!
Ik heb meerdere keren verzocht om basis info over de veranderingen van de Kerklaan / link.
Ik wil de huidige plattegrond en de toekomstige plattegrond.
Ik krijg die basis info NIET.
Ik vind het zeer onwenselijk en levensgevaarlijk om definitief op de STOEP PARKEREN:
in de versmalde Kerklaan te Groningen.
Iemand – een mij onbekend persoon – blijkt een WOO verzoek Kerklaan / link te hebben gedaan.
DE WEL OPENBAAR GEMAAKTE STUKKEN ROEPEN VEEL VRAGEN OP:
WAAR IS DOCUMENT NUMMER 8:
‘Besluit waarom bewoners op de stoep mogen parkeren.’
Perplexity / link
Het gehonoreerde Woo-verzoek betreffende de Kerklaan betreft een verzoek om openbaarmaking van diverse documenten en informatie over het project Kerklaan,
zoals aanvragen en toekenningen van subsidies, tekeningen van boomspiegels, woningen, goot en parkeerplaatsen, verkeersbewegingen en besluiten met betrekking tot parkeerbeleid en geveltuinen.
De gemeente heeft uw Woo-verzoek behandeld en 21 relevante documenten verzameld, waarvan een inventarislijst is opgesteld.
Deze documenten zijn of worden openbaar gemaakt via de website van de gemeente Groningen / link.
Er is voor de Kerklaan in Groningen inderdaad een definitief besluit genomen over het parkeren op de stoep.
De gemeenteraad heeft op 20 juli 2024 het plan goedgekeurd voor de herinrichting van de Kerklaan waarin parkeerplekken op een verhoogd gedeelte – gelijk aan de stoep – komen te liggen en waarbij het aantal parkeerplekken wordt verminderd van 60 naar 48 om ruimte te maken voor fietsen, groen en deelmobiliteit.
Deze parkeerplekken zijn echter expliciet aangeduid als parkeerplaatsen,
ondanks dat ze fysiek op stoepniveau komen te liggen.
Er is géén besluit genomen waarbij bewoners willekeurig op de stoep mogen parkeren buiten de aangewezen vakken.
Het parkeren buiten de officiële vakken blijft niet toegestaan volgens de gemeentelijke parkeerverordening 2025.
Het beleid is gegarandeerd via de officiële vaststellingen van de gemeenteraad.
Er is ruimte voor bezwaar: bewoners kunnen bezwaar maken tegen het besluit omtrent de herinrichting en het gewijzigde parkeerbeleid, volgens de procedures zoals vastgesteld in gemeentelijke regelgeving.
*********************************************
Leeggezaagde Kerklaan blijft BUURTSTRAAT !
B&W en de Gemeenteraad willen van de Buurtstraat Kerklaan: een Fietsstraat naar Zernike (Campus) maken.
Daarvoor heeft onze Buurtstraat een Grote Bomen Kap ondergaan.
Alle gezaagde stammen bleken gezond: mooi helder hout.
Wellicht was de ondergrond niet perfect, maar dat had kunnen worden aangepakt.
De Politiek en een hele kleine groep bewoners hebben besloten dat
de huidige ‘antieke’ veilige Buurstraat Kerklaan
> DE doorfietsrute naar Zernike (Studntencampus) MOET worden.
Ik ben van mening dat de verandering LEVENSGEVAARLIJK wordt.
Ik heb daarvoor diverse valide punten.
Maar ik mag niet met de verkeers deskunidigenom tafel.
En Burgemeester Roelien Kamminga en Wethouder Philip Broekema weigeren elk gesprek.
*
Iemand heeft een WOO (Wet Openbaarheid Overheid) verzoek gedaan.
Ik heb de stukken doorgenomen.
In geen enkel stuk komt naar voren hoe de nieuwe plantvakken worden.
Ik ben van mening dat bij herplant na kap:
Het Boom Kroon Volume per Boom terug MOET komen.
Ook wil ik nog steeds de taxatiewaarde zien: per omgekapte Boom.
Bomenregister / link
De WOZ waarde / link van onze woningen EN de gezondheid van ons allemaal wordt o.a. bepaald door het Boomvolume.
Ook door het type Boom – Bachbloesem / link
Mensen herstellen sneller in een groene omgeving / link
Elke Boom heeft een eigen nummer / link
Onderstaande foto’s zijn van mij.
Zo zag de oude veilige kruising eruit.
Nu ligt er een nieuwe – levensgevaarlijke – kruising.



Bovenstaande foto’s geven een beeld van de oude veilige kruising – Treintunnel bij Kerklaan
“Mevrouw Kiki:
B&W en de Gemeenteraad houden u, als bewoners, w3ijkgebruikers en studenten, – onterecht voor dat de huidige Kerklaan gevaarlijk is.
Ik woon al ruim 50 jaar in de buurt.
In mijn visie gebeuren er nagenoeg nooit ongelukken.
Juist omdat de straat breed is.
B&W en Gemeenteraad willen van deze authentieke Buurtstraat Kerklaan DE fietsstraat naar Zernike maken.
Zij beweren dat zij de veiligheid verbeteren.
Maar in geen van de stukken staat hoeveel ongelukken er gebeuren.
En welk type ongelukken.
In mijn visie hebben de ontwerpers geen rekening gehouden met wandelaars, kinderen en ouderen achter rollators.
Kortom:
Ik ben van oordeel dat veiligheid juist verdwijnt: door de onprofessionele veranderingen.
*
Op de twee bovenstaande foto’s ziet u de originele OUDE VEILIGE Fiets Kruising bij de treintunneltje van de Kerklaan.
Ik heb nooit een bericht gehoord dat er ongeluk na ongeuk plaatsvond.
In mijn visie was DEZE Kruising: ZEER VEILIG.
Deze Kruising stroomde goed en soepel door.
*
AFGELOPEN WEEK is DEZE Kruising: op een hele rare en onlogische wijze veranderd.
In mijn visie is DEZE NIEUWE Kruising LEVENSGEVAARLIJK geworden.
Ik zal spoedig foto’s nemen.
Ook die foto’s – dus van De Nieuwe Situatie -zal ik op deze website plaatsen.
Ook ontvangt u binnenkort van mij bewoners brief.
****************************************************
5 Oktober 2025 – Vroege Vogels / link
Vanochtend was er in het 3e uur van Vroege Vogels Radio
een uitermate boeiend gesprek met twee heren die zich op fantastische wijze inzetten voor Bomen.
Hun beider inzet is ongelooflijk waardevol.
Ik geef heel erg graag een nieuwe term mee: BoomKroon – Volume
**************************************************
3 Oktober 2025. – 19.02 uur
Staat er – TERING- nu toch weer iets aan evenement ONDER de ‘Kiki Plataan?’
Wanneer stop dat?
Wanneer krijgt Deze Plataan het volle respect?
NIKS ONDER HAAAAAAAAAAR BOOMKROON! / link
Life webcam Grote Markt Groningen / link.
**************************************
3 oktober 2025 – 15:27 uur
OPEN BRIEF.
Geachte Burgmeester Roelien Kamminga,
Ik heb namens u een brief gekregen.
Namens u is deze brief opgesteld door Het Hoofd van een van uw Afdelingen van de Gemeente Groningen.
Ik ervaar deze brief als een zeer slechte vorm van humor.
*
Ik weet niet of U de inhoud van deze brief wel of niet kent.
De brief is wel namens U geschreven.
*
Uit deze brief valt – tussen de regels door – op te maken dat: U niet met mij in gesprek gaat.
In deze brief legt u mij meerdere verboden op.
Zoals het gevolg van uw verbod om vanmiddag naar de lezing in het Klockhuys te Haren / link te gaan.
Daar was een lezing van de voormalige stadsecoloog: Wout Veldstra/ Link
Wout Veldstra – Steenbreek / link.
Vraag:
U bent onduidelijk.
Deze brief met UW opmerkelijke visie over mij, is dat:
-> een besluit ?
-> een mededeling ?
Ik ga deze brief eerst met mijn inner cirkel bespreken.
Ik geeft u mee dat ik de komende 2 weken geen enkele brief open en dat ik ook niet bereikbaar ben.
Mevrouw Kiki
Groningen
*****************************************
1 Oktober 2025
Vanochtend was op de Radio het programma Spraakmakers.
Daarin kwam naar voren dat (woon)wijken veelal niet ontworpen zijn voor auto’s / link.
ACTIE!
Hou Kerklaan Veilig!
Ik woon al 50 jaar in de Noorderplantsoenbuurt.
Het is mijn leefomgeving.
Ik wil de plattegrond van de huidige situatie van de Kerklaan: met alle juiste maten!
Ik wil deplattegrond met de nieuwe situatie: met de juiste maten!
Ik heb daar – op meerdere verschillende momenten – naar gevraagd.
En ik krijg die niet!
Er is door iemand een WOO verzoek gedaan.
Die openbare stukken kan ik niet op internet vinden.
DAAROM:
Vandaag ga ik een buurtbrief opstellen: om de bewoners, winkeliers en studenten te informeren.
Om hen allen op de hoogte te brengen van de LEVENSGEVAARLIJKE veranderingen van de Kerklaan te Groningen.
Vanochtend vroeg – om 08.40 uur – heeft een telefoniste van 1405
weer geprobeerd om mij niet door te verbinden: om een spoed afspraak te maken met Burgemeester Kamminga!
Door de compleet afwijzende houding van Burgemeester Roelien Kamminga (en haar voorgangers) en B&W en de verantwoordelijke ambtenaren,
kan mij dus zelfs niet inzetten voor mijn eigen leefomgeving.
Ik vind de gehele gang van zaken rond het mij eenzijdig opgelegde Ambtenarten Contact Verbod dermate onredelijk, onprofessioneel, onfatsoenlijk, kwetsend,
dat ik mij inmiddels afvraag of de handels wijze naar mij strijdig is met de Grondwet en met de Beginselen van Behoorlijk Bestuur.
*
Ik kan simpel aantonen dat de impressie van de ‘nieuwe Kerklaan’ is op veel punten MISLEIDEND VALS is.
En wel zodanig dat ik ingrijpen en stopzetten van de werkzaamheden door de VoVo Rechter Noord Nederland noodzakelijk vind!
Een aantal punten.
Ik woon al 50 jaar in de Noorderplantsoenbuurt.
Er gebeuren zelden of nooit ongelukken.
De DRUKKE Kerklaan is dus nu: VEILIG!
De versmaling van de rijweg geeft de volgende problemen:
1.
Auto’s kunnen elkaar dan moeilijk passeren.
2.
Daardoor is er minder veilige ruimte voor de fietsers.
3.
De fietsers zullen dan nog eerder de stoepen op vliegen: Dat doen ze nu al massaal!
4.
De auto’s komen op verhoogde stoep.
Maar stoep en wandelen is een totaal andere energie dan auto’s en hoge breede SUV’s!
5.
Daar kan ik niet overheen kijken, het veilige ruimtelijke beeld is weg.
6.
Ik loop achter een karretje. Ik kan dus niet zien wanneer ik kan oversteken.
7.
De auto’s komen op de smalle stoepen / Verhelderende info Ministerie
Maar ze krijgen geen eigen vak met stoeprand.
Slecht parkeerders nemen daardoor nog meer stoep ruimte in.
8.
Als mensen uitstappen komt de autodeur dieper op de stoep.
9.
Er staan – de hele dag door op meerdere tijdstippen – veel busjes van leveranciers
op de Kerklaan.
Daardoor is er nu al weinig ruimte voor de veiligheid van fietsers.
Die veilige ruimte kan niet smaller worden!
10.
Wandelaars, ouderen met rollators, kleine kinderen krijgen nog minder ruimte dan nu,
bij de versmalling van de stoep en de veelheid aan fietsen: voor of tegen de gevels / link.
11.
Op de Gemeentelijke Website staan op de website geen geveltuintjes meer.
Maar volgens de Gemeentelijke website info gaan de geveltuintjes dus: weg.
Volgens de tekening – onlangs in te zien bij een info-tent van de aannemer De Wilde blijven de geveltuintjes, maar verschuiven ze wel.
Ook aannemer De Wilde wilde mij de tekeningen niet geven.
De medewerker van de aannemer verwees mij naar de Gemeente Groningen.
En – inderdaad – daar loop ik – weer – vast.
Ik ken niemand die wel de correcte tekeningen heeft van de huidige en die nieuwe situatie.
12.
Geldautomaat gebruikerr – even snel met de auto – kan ook niet meer.
Want dan wordt de rijweg: weer te smal.
13.
De stoepen liggen er – nagenoeg overal – nu netjes en strak in.
Die krijgen rode stenen en het rode asfalt: ALLES WORDT ROOD!
14.
In het Rijksmonument Noorderplantsoen liggen nu authentieke keien, horende park.
Moet ook rood asfalt worden.
15.
DE GRIJZE BETONTEGELS WEERKAATSEN -> ZONLICHT!
RODE BAKSTENEN EN ROOD ASFALT WORDT -> DONKER!
16.
Kenners zeggen dat de geraamde financiene onvoldoende zijn.
17.
De kruising bij spoortunnel kerklaan is afgesloten.
Daar lag een simpele platte kruising.
Daar is nu – in mijn visie – een gevaarlijke verhoogde ‘show’ kruising gekomen.
Gister – 30 September 2025 – liet de verkeersregelaar – in opdracht van aannemer De Wilde – de fietsers niet omfietsen.
Maar stuurde hij ze naar het smalle voetpad in het kleine Parkje van de Bessemoerstraat.
Daar werd nooit gefietst, omdat op dat smalle wandelpad Blinden, Mensen met rollators/ link, Kinderen en (aangelijnde) Honden lopen.
U hoort van mij.
*
Kung Fu – Caine / link
When and Why Caine Got the Name Grasshopper
Kung Fu – Caine / link
The beginning of wisdom.
Alain Delaporte / link
Alain leerde mij heel subtiel eten proeven.
Rijstkorrel voor rijstkorrel.
Vondelpark Bomen Concert / link
Behoud van Mooie Bomen ! / link
Perplexity over mij / link
Nogmaals Perplexity / link
Perplexity / link
‘Kiki Plataan’ Groninger Grote Markt / Sikkom link
Foto:
Rechts zie u: De ‘Kiki Plataan’!
Links ziet u: De pas nieuwe veel kleinere – Zeer Overdreven ‘Impressie Grote Bomen’.

Perplexity / link
29 September 2025 – 11:13 uur
B&W stuurt TWEEDE Dreigbrief.
Al ruim 15 jaar gaat B&W niet met mij in gesprek.
Mij is al ruim 15 jaar eenzijdig een Ambtenaren Contact Verbod opgelegd.
Ik heb weken geleden geprobeerd om met SPOED in gesprek te komen met Burgemeester Roelien Kamminga.
Maar tot op heden heeft zij nog niet gereageerd.
B&W Groningen gaat – ondanks dat er al ruim 15 jaar geen beleid is over Ambtenaren Contact Verbod nog steeds niet met mij in gesprek.
Sterker, al jaren beweert B&W wel naar de Lokale Ombuds dat zij bezig is met het opstellen van beleid,
Daarom heb ik besloten om mijn verhaal over mijn inzet op deze website te zetten.
B&W Groningen blijkt wel deze webstite te volgen.
Het is duidelijk dat B&W grote moeite heeft met mijn info.
*
Zaterdagochtend op 27 September 2025
kreeg ik per post de B&W brief.
Datum 25-09-2025 / Kenmerk 101344444 / telefoon 14050.
Ik had al zeer onlangs de EERSTE B&W dreigbrief gehad.
Dit is de TWEEDE dreigbrief in zeer korte tijd.
En wwer:
-> zonder hoor en wederhoor: wordt mij van alles opgelegd.
-> zonder uitleg van B&W welke onwaarheden ik over de gemeentelijke medewerkers
aan u allen vertel,
Zie 1e alinea van de EERSTE B&W dreigbrief.
In de TWEEDE dreigbrief staat dat ik VOOR Maandag29 September 2025 – 09:00 uur
info van mijn (deze website dus) moet halen.
Anders wordt er een juridische procedure gestart.
*
Ik word dus geacht om ook in het weekend met de Gemeente Groningen bezig te zijn.
B&W eist dat ik direct moet handelen:
ONDANKS:
– Dat ik geen eigen computer heb.
– Dat IK OVERAL en meerdere keren – zeer duidelijk heb aangegeven dat ik geen email
heb: wegens een hersenbeschadiging!
Ik ervaar het als enorm KWETSEND dat B&W stelt dat ik via email vragen kan stellen.
Bovendien is het diep triest en onprofessioneel gedrag.
B&W (Gemeentesecretaris) heeft mij zelfs onlangs een Stadhuisverbod opgeled.
Weer zonder hoor en wederhoor.
Omdat ik boos werd toen wer tegen mij werd beweerd dat ik maar moest mailen als ik de Burgemeester snel wilde spreken.
*
B&W wil dat ik voor vanochtend 09.00 uur info over betrokken ambtenaren had verwijderd.
B&W en al haar bateljon juristen denken – met zijn allen – een maandlang na over hoe zij mij onder druk gaan zetten.
B&W stuurt met haar EERSTE en TWEEDE dreigbrief printscreens (10 bijlagen – geprint 17 September 2025) mee.
B&W’s brieven zijn van 19 September en 25 September 2025.
De prints (10 bijagen gaat over mijn info website info van: 27 AUGUSTUS 2025.
*
Hun brief gaat dus over mijn website info van EEN MAAND GELEDEN!!!!
Maar IK ….
MOET DRINGEND, met SUPER SPOED, en NU DIRECT, in het WEEKEND reageren !!!!
Mij word door B&W GEEN MILLIMETER TIJD GEGUND om:
> Met Burgemeester Roelien Kamminga in gesprek te gaan
> Met B&W in gesprek te gaan.
> Met de bij alle probleem projecten met betrokken Ambtenaren in gesprek
te gaan: immers weer geen hoor en wederhoor.
> Juridische Ondersteuning te raadplegen.
> Bezwaar te maken.
> Een Klacht in te dienen.
*
Aangezien ik geen computer heb, werk ik elders.
Die locatie is pas om 10 uur open.
Vandaar vanochtend later pas mijn reactie.
*
Ik heb Pagina 2 van B&W’s EERSTE dreigbrief aangepast toegevoegd.
Louter vanwege de handtekening van de verzender van de BEIDE dreigbrieven.
B&W verwijst in haar TWEEDE dreigbrief weer niet naar de zogenaamde onwaardheden, die verwijderd dienen te worden.
Omdat B&W niet naar mij meldt wat die onwaarheden zijn, kan ik die ook niet corrigeren.
Daarom ga ik ervanuit dat ik waarheden vertel!
Ik heb op dit moment – op basis van B&W’s eis – (voorlopig) 3 namen van (top) ambtenaren verwijderd.
Ik ben het niet eens met de noodzaak tot verwijdering.
De 3 namen van deze (top) zijn namelijk zowel te vinden op de Gemeente Groningen officiele site.
Tevens hebben alle drie de – door mij genoemde – (top) ambtenaren een profiel op zakelijk LinkedIn.
Daarom noem ik hen:
1. Directeur LinkedIN
2. LinkedIn A
3. LinkedIn B
Hollands spreekwoord;
“Goed voorbeeld doet volgen.”
Ik ga er vanuit dat alle 3 betrokken (top) ambtenaren zelf ook hun zakelijke profiel zowel van de Gemeente Groningen website en van LinkedIn verwijderen.
***********************************************************
Visie Perplexity over onderstaand gebeuren / link
Mijn reactie naar aanleiding van B&W’s EERSTE Dreigbrief.
25 September 2025 – 14.42 uur
Openbare brief.
Geachte Burgemeester, B&W en Gemeenteraad,
Bij deze wijs ik u op het al ruim 15 jaar durende Ambtenaren Contact Verbod.
Naar het schijnt was dat Ambtenaren Contact Verbod op 1 juni 2025 – plotseling en eindelijk – ‘verlopen’.
Ondanks mijn meerdere verzoeken aan 14050 heb ik van u daarover NIETS vernomen.
Tot op heden heeft u geweigerd om mij schriftelijk te bevestigen: dat de Ambtenaren Contact Verbod Maatregel vanaf 1 juni 2025 was ‘verlopen’.
-> Al jaren achtereen weigert u elke oplossing.
-> Al jaren achtereen weigert u externe mediaton.
-> Al jaren achtereen is er geen beleid voor het Ambtenaren Contact Verbod.
->Al jaren neemt u meerdere besluiten over mij: zonder hoor en wederhoor.
OOK NU WEER!!
Ik heb – door de afgelopen ruim 15 jaar heen – alle Burgemeesters benaderd.
Allen weigeren – en weigerden – een gesprek.
Allen kwamen niet tot een oplossing.
Zelfs de inzet van de Lokale Ombuds bracht NIETS in beweging.
Dit in tegenstelling van het effect van de Nationale Ombuds, bij milieuactviste Riet Bell.
Ik heb de CDK Groningen – René Paas – benaderd.
Ook hij weigert al jaren om zijn inzet te leveren.
Nu verzoekt u, B&W, mij – in uw door mij gister ontvangen onderstaande brief – om namen en functies te verwijderen.
Zonder naar mij heel concreet om aan te geven welke namen ik van u zou moeten verwijderen.
U stuurt 10 print screen’s, waarbij zelfs eentje over ‘handhaver’ maar zonder naam!
U benadrukt zelfs dat ik onwaarheden over de Gemeentelijke medewekers zou verkondigen.
Zonder dat u naar mij aan te geven welke onwaarheden ik meldt.
Nu in TWEE dreigbrieven niet aangeeft wat voor onwaarheden ik meldt,
kan ik niets aanpassen.
En consteer ik dat mijn visie dan kennelijk juist is.
Immers, anders zou u mij corrigeren.
Ook wijst u weer niet op mogelijkheid voor mij om bezwaar te maken tegen uw verzoek.
Bovendien uit u dat als ik niet voldoe aan uw voorwaarden, dat …
Maar u laat volstrekt na om aan te geven welke juridische stappen gaat nemen.
Ook laat u weer na om mij te informeren: waarom u nog steeds niet met mij in gesprek gaat.
Ik ben van mening dat als u oplossingegericht zou handelen,
dat u dan al jarenlang diverse andere routes zou hebben gelopen.
En dat ik aan mijn inzet als Boombeschermvrouwe had kunnen voldoen.
Ik heb daarom besloten om de EERSTE dreigbrief integraal te publiceren op mijn website.
Uw TWEEDE dreigbrief is nagenoeg identiek.
Ik heb besloten om de titels Directeur LinkedIn en Medewerker LinkedIn te gebruiken.
****
24 September 2025 – 12:09 uur
Mevrouw Kiki:
Zojuist ontving ik een brief (kenmerk 10339896, d.d. 19 -09 -2025, telefoon 14050) van Directeur LinkedIN van de Gemeente Groningen.
De ondertekenaar was kennelijk zo woedend dat zelfs mijn woonadres verkeerd is geschreven.
Dwarsliggen lukt ook!


Kortom:
Ik krijg – voor de zoveelster keer zonder hoor en wederhoor (!!!) – de extreem dringende opdracht:
> Ik moet per direct ambtenaren personeelsgegevens van mijn website verwijderen.
> B&W & Directeur LinkedIn stellen beiden dat ik ook ONWAARHEDEN zou vermelden.
> B&W & Directeur LinkedIn sturen 10 pagina’s afdrukken van mijn website mee.
Uiteraard als bewijs.
Ik heb deze 10 pagina’s inmiddels doorgenomen.
*
Juridisch:
B&W moet een besluit moet deugdelijk motiveren – Awb 3:47 / link.
Ik ben van mening dat B&W daarin nalatig is.
Ik heb besloten om de B&W dreigbrief – namens de B&W & Directeur LinkedIn – op deze site te plaatsen.
Omdat:
– B&W Groningen & Directeur LinkedIn niet melde wiens persoongegevens ik moet verwijderen.
– B&W & de Directeur LinkedIn ook niet aangeven welke onwaarheden ik op de website
vertel.
– Ik krijg, ondanks al mijn inzet, Burgemeester, Roelien Kamminga niet te spreken.
– Ik krijg de betrokken Directeur LinkedIn niet te spreken. Ik moet mailen.
Het zou zeer fatsoenlijk zijn als de B&W & Directeur LinkedIn mijn handicapt erkent.
– De telefonisten 14050 verbinden mij – in deze SPOED zaak – niet door,
zelfs niet iemand anders dan met de enige contactambtenares
B&W weet dat ik ik LinkedIn-A niet spreken.
*
Juridisch:
B&W moet een besluit moet deugdelijk motiveren – AWB artikel / link.
Ik ben van mening dat B&W daarin nalatig is.
Ik heb besloten om de officiele brief – namens B&W brief & Directeur LinkedIn op deze site te plaatsen.
*******
24 September 2025
Visie van Perplexity / link
‘Kiki Plataan’ Kit Rechtszaak.
Ik ben mijn wrakingsverzoek aan het opstellen.
Tegen de TWEEDE Rol-Kantonrechter Noord Nederland.
In haar verslag staan veel – voor mij onaanvaardbare – fouten.
De EERSTE Rol-Kantonrechter had mij Comparitie toegezegd.
Dat staat niet in haar verslag van zitting.
Dat is dus niet uitgevoerd.
In tegendeel !!!
De TWEEDE Rol-Kantonrechter
1. Stuurde mij een folder waarin staat dat als ik alles kan vertellen.
2. Gerechtsdeurwaarders blijken meerdere mensen op een zelfde tijdstip
op te roepen.
Daarom vroeg ik aan de Rechtbankbode – vlak voor de zitting van 9 September 2025 – 09: 00 uur:
Ik “Hoelang duurt een zitting?”.
De Rechtbankbode: “Net zolang al jij wilt.”
3.
Bij binnenkomst zei de TWEEDE Rol-Kantonrechter: “U krijgt 5 minuten!”
Ik dacht direct: “Deze heeft er geen zin in!”
Ik had meteen moeten wraken.
4.
Ik nam meer minuten.
Ik moest heel snel het gehele verhaal, met alle op- en aanmerkingen vertellen.
De Griffier zei niets. Ik kreeg de indruk dat zij met iets totaal anders bezig was.
De TWEEDE Rol-Rechter, heel snel schrijvend, noteerde ‘alles’.
Achtergrond:
1.
Perplexity AI verheldert dat sinds – 1 april 2024 / link – OFFERTES van niet uitgevoerde werkzaamheden NIET mogen worden geclaimd.
Toch heeft B&W AGIN Incasso ingeschakeld.
En is er nu zelfs een hele echte Kanton Rechtszaak.
-> In het kader de OFFERTE van via Rots BV te Brummen.
Deze offerte is door B&W doorgestuurd: aan mij!
-> Het betreft een OFFERTE:
Voor het niet herstellen van door mij verwijderde 10 centimeter bij de ‘Kit Kiki Plataan’.
Deze 30 jaar geleden door mij geredde ‘Kiki Plataan’ verdronk in een bak water.
Tevens was er bevriezingsgevaar.
2.
Er is een niet gespecificeerde rekening voor verwijderen ALARM stoepkrijt.
De Groninger City Club had illegaal Zware Lichteieren in Monumentale Bomen gehangen.
B&W weigerde ze weg te halen.
3.
Wegens een idioot hoge rekening (125,=) voor administratiekosten.
Met de medeling:
-> dat als ik direct betaalde
_> en ik niet in discussie ging over de rekening
-> kreeg ik 50% korting op de administratiekosten.
Ik noem dat chantage.
Zeker voor iemand zoals ik: die al ruim 15 jaar geen contact met ambtenaren mag hebben.
Perplexity / link
Over het algemeen geldt dat gemeenten substantiële overheadkosten hebben, maar de directe doorbelasting naar burgers voor een offerte kan variëren.
€125,- is een relatief hoog bedrag voor een administratieve afhandeling van een offerte, wat erop kan duiden dat de offerte een uitgebreide of specialistische behandeling vereiste.
4.
Ik heb geen boetes voor de kit en de stoepkrijt gekregen.
Daartegen had ik bezwaar kunnen maken.
***********************************************
Visie Perplexity over onderstaand gebeuren / link
24 September 2025 – 12:09 uur
Ik ben mijn wrakingsverzoek aan het opstellen.
Tegen de tweede Rol-Kantonrechter Noord Nederland.
In haar verslag staan veel – voor mij onaanvaardbare – fouten
De eerste Rol-Kantonrechter had mij Comparitie toegezegd.
Dat staat niet in haar verslag van zitting.
Dat is dus niet uitgevoerd.
In tegendeel !!!
De tweede Rol-Kantonrechter
1. Stuurde mij een folder waarin staat dat als ik alles kan vertellen.
2. Er bleken meerdere mensen door de gerechtsdeurwaarder op een tijdstip te worden opgeroepen.
Daarom vroeg aan de Rechtbankbode – vlak voor de zitting van 9 September 2025 09;00 uur, hoelang een zitiing duurt.
De Rechtbankbode zei dat ik alle tijd kreeg: “Net zolang al jij wilt.”
3.
Bij binnenkomst zei De tweede Rol-Kantonrechter: “U krijgt 5 minuten!”
Ik dacht direct: Deze heeft er geen zin in.
Ik had meteen moeten wraken.
5.
Ik nam meer minuten.
En moest snel het gehele verhaal, met op en aanmerkingen vertellen.
De Griffier zei niets.Ik kreeg de indruk dat zij met iets anders bezig was.
De tweede Rol-Rechter, heel snel schrijvend, noteerde ‘alles’.
Achtergrond:
1.
Perplexity AI verheldert dat sinds – 1 april 2024 / link – offertes van niet uitgevoerde werkzaamheden niet mogen worden geclaimd.
Toch is er een Kanton Rechtszaak (via AGIN Incasso) in het kader van de offerte van B&W (via Rots BV te Brummen).
Voor het niet herstellen van door mij verwijderde 10 centimeter bij de ‘Kit Kiki Plataan’.
De 30 jaar geleden door mij geredde ‘Kiki Plataan’ verdronk in een bak water.
Er was eveneens bevriezingsgevaar.
2.
Er is een niet gespecificeerde rekening voor verwijderen ALARM stoepkrijt.
De Groninger City Club had illegaal Zware Lichteieren in Monumentale Bomen gehangen.
B&W weigerde ze weg te halen.
3.
Wegens een idioot hoge rekening (125,=) voor administratiekosten.
Met de medeling:
-> dat als ik direct betaalde
_> en ik niet in discussie ging over de rekening
-> kreeg ik 50% korting op de administratiekosten.
Ik noem dat chantage.
Zeker voor iemand zoals ik: die al ruim 15 jaar geen contact met ambtenaren mag hebben.
Perplexity / link
Over het algemeen geldt dat gemeenten substantiële overheadkosten hebben, maar de directe doorbelasting naar burgers voor een offerte kan variëren.
€125,- is een relatief hoog bedrag voor een administratieve afhandeling van een offerte, wat erop kan duiden dat de offerte een uitgebreide of specialistische behandeling vereiste.
4.
Ik heb geen boetes voor de kit en de stoepkrijt gekregen.
Daartegen had ik bezwaar kunnen maken.
***********************************************
Visie Perplexity over onderstaand gebeuren / link
24 September 2025
Ik ben mijn wrakingsverzoek aan het opstellen.
Tegen de tweede Rol-Kantonrechter Noord Nederland.
In haar verslag staan veel – voor mij onaanvaardbare – fouten
De eerste Rol-Kantonrechter had mij Comparitie toegezegd.
Dat staat niet in haar verslag van zitting.
Dat is dus niet uitgevoerd.
In tegendeel !!!
De tweede Rol-Kantonrechter
1. Stuurde mij een folder waarin staat dat als ik alles kan vertellen.
2. Er bleken meerdere mensen door de gerechtsdeurwaarder op een tijdstip te worden opgeroepen.
Daarom vroeg aan de Rechtbankbode – vlak voor de zitting van 9 September 2025 09;00 uur, hoelang een zitiing duurt.
De Rechtbankbode zei dat ik alle tijd kreeg: “Net zolang al jij wilt.”
3.
Bij binnenkomst zei De tweede Rol-Kantonrechter: “U krijgt 5 minuten!”
Ik dacht direct: Deze heeft er geen zin in.
Ik had meteen moeten wraken.
5.
Ik nam meer minuten.
En moest snel het gehele verhaal, met op en aanmerkingen vertellen.
De Griffier zei niets.Ik kreeg de indruk dat zij met iets anders bezig was.
De tweede Rol-Rechter, heel snel schrijvend, noteerde ‘alles’.
Achtergrond:
1.
Perplexity AI verheldert dat sinds – 1 april 2024 / link – offertes van niet uitgevoerde werkzaamheden niet mogen worden geclaimd.
Toch is er een Kanton Rechtszaak (via AGIN Incasso) in het kader van de offerte van B&W (via Rots BV te Brummen).
Voor het niet herstellen van door mij verwijderde 10 centimeter bij de ‘Kit Kiki Plataan’.
De 30 jaar geleden door mij geredde ‘Kiki Plataan’ verdronk in een bak water.
Er was eveneens bevriezingsgevaar.
2.
Er is een niet gespecificeerde rekening voor verwijderen ALARM stoepkrijt.
De Groninger City Club had illegaal Zware Lichteieren in Monumentale Bomen gehangen.
B&W weigerde ze weg te halen.
3.
Wegens een idioot hoge rekening (125,=) voor administratiekosten.
Met de medeling:
-> dat als ik direct betaalde
_> en ik niet in discussie ging over de rekening
-> kreeg ik 50% korting op de administratiekosten.
Ik noem dat chantage.
Zeker voor iemand zoals ik: die al ruim 15 jaar geen contact met ambtenaren mag hebben.
Perplexity / link
Over het algemeen geldt dat gemeenten substantiële overheadkosten hebben, maar de directe doorbelasting naar burgers voor een offerte kan variëren.
€125,- is een relatief hoog bedrag voor een administratieve afhandeling van een offerte, wat erop kan duiden dat de offerte een uitgebreide of specialistische behandeling vereiste.
4.
Ik heb geen boetes voor de kit en de stoepkrijt gekregen.
Daartegen had ik bezwaar kunnen maken.
***********************************************
Ik ben niet de enige in de Stad Groningen die info verstrekt / link
Ik ben niet de enige die in 2024 opmerkingen heeft / link
(Top) Ambtenaar LinkesIN – Gemeente Groningen / link
Gemeente Groningen info/ link
Wilt u de burgemeester of één van de wethouders iets vragen of vertellen?
Bijvoorbeeld een plan of idee?
Of uw mening over het beleid van de gemeente?
Laat het ons weten.
U kunt ook contact opnemen met een wethouder of de burgemeester via hun persoonlijke pagina.
*
Ik vertel u allen iets via deze website, het onderstaande:
Visie Perplexity over onderstaand gebeuren / link
25 September 2025 – 14.42 uur
Openbare brief.
Geachte B&W en Gemeenteraad,
Bij deze wijs ik u op het al ruim 15 jaar durnde Ambtenaren Contact Verbod.
Naar het schijnt was dat Ambtenaren Contact Verbod op 1 juni 2025 – plotseling en eindelijk – opgeheven.
Ik heb van u daarover niets vernomen.
U heeft geweigert mij dat schiftelijk te bevestigen.
Al jaren achtereen weigert u elke oplossing.
Al jaren achtereen weigert u externe mediaton.
Al jaren achtereen is er geen beleid.
Al jaren neemt u besluiten over mij: zonder hoor en wederhoor. OOK NU WEER!!
Ik heb – door de jaren heen – alle Burgemeesters benaderd. Allen weigeren een gesprek.
Ik heb de CDK Groningen benaderd. Weigert inzet.
Nu verzoekt u mij – in de door mij gister in uw onderstaande brief – om namen te verwijderen.
Zonder naar mij heel concreet om aan te geven welke namen ik van u zou moeten verwijderen.
U stuurt 10 print screen’s, waarbij zelfs eentje over ‘handhaver’: maar zonder naam!
U geeft tevens niet aan waar ik – al dan niet – onjuistheden zou verkondigen, zodat dat die niet door mij te corrigieren zijn.
Ook wijst u niet op de – al dan geen – mogelijkheid om bezwaar te maken tegen uw verzoek.
Bovendien uit u dat als ik niet voldoen aan uw al voorwarden u juridische stappen gaat nemen.
Ik ben van mening dat als u oplossingegericht zou handelen, dat er jarenlang andere routes zijn gelopen.
En dat ik aan mijn inzet als Boombeschermvrouwe had kunnen voldoen.
Ik heb daarom besloten om de brief integraal te publiceren op mijn website.
24 September 2025 – 12:09 uur
Mevrouw Kiki:
Zojuist ontving ik een brief (kenmerk 10339896, d.d. 19 -09 -2025, telefoon 14050) Juridische Zaken Gemeente Groningen.
De ondertekenaar was kennelijk zo woedend dat zelfs mijn woonadres verkeerd is geschreven.
Dwarsliggen lukt ook!

Ik krijg – alweer zonder hoor en wederhoor (!!!) – de extreem dringende opdracht:
> Om per direct personeelsgegevens van mijn website te verwijderen.
> B&W & Directeur LinkedIn stellen dat ik ook onjuistheden zou vermelden.
> B&W & Directeur LinkedIn sturen 10 pagina’s afdrukken van mijn website
mee.
Uiteraard als bewijs.
Ik heb deze 10 pagina’s nog niet doorgenomen.
*
Juridisch:
B&W moet een besluit moet deugdelijk motiveren – Awb 3:47 / link.
Ik ben van mening dat B&W daarin nalatig is.
Ik heb besloten om de officiele brief – namens B&W brief & Directeur LinkedIn- op deze site te plaatsen.
Omdat:
– B&W Groningen & de Directeur LinkedIn niet melden wiens persoongegevens
ik moet verwijderen.
– B&W & de Directeur Groningen ook niet aangeven welke onjuistheden aan u vertel.
– Ik krijg, ondanks al mijn inzet Burgemeester, Roelien Kamminga niet te spreken.
– Ik krijg de betrokken Directeur niet te spreken.
– De telefonisten 14050 verbinden mij – in deze SPOED zaak – niet door, zelfs niet met de enige contactambtenares (enkele uurtjes in de week).
B&W weet dat ik wil haar niet spreken.
*
Juridisch:
B&W moet een besluit moet deugdelijk motiveren – AWB artikel / link.
Ik ben van mening dat B&W daarin nalatig is.
Ik heb besloten om de officiele brief – namens B&W brief & Directeur LinkedIn – op deze site te plaatsen.
Omdat:
– B&W Groningen & de Directeur LinkedIn niet melden wiens persoongegevens
ik moet verwijderen.
– B&W & de Directeu ook niet aangeven welke onjuistheden aan u vertel.
– Ik krijg, ondanks al mijn inzet Burgemeester, Roelien Kamminga niet te spreken.
– Ik krijg de betrokken Directeur LinkedIn niet te spreken.
– De telefonisten 14050 verbinden mij – in deze SPOED zaak – niet door.
zelfs niet met de enige contactambtenares (enkele uurtjes in de week).
B&W weet maleijk dat ik wil haar niet spreken.
Visie van Perplexity / link
**********************************************************************
24 September 2025
Ik ben mijn wrakingsverzoek aan het opstellen.
Tegen de tweede Rol-Kantonrechter Noord Nederland.
In haar verslag staan veel – voor mij onaanvaardbare – fouten
De eerste Rol-Kantonrechter had mij Comparitie toegezegd.
Dat staat niet in haar verslag van zitting.
Dat is dus niet uitgevoerd.
In tegendeel !!!
De tweede Rol-Kantonrechter.
1. Stuurde mij een folder waarin staat dat als ik alles kan vertellen.
2. Er bleken meerdere mensen door de gerechtsdeurwaarder op een tijdstip te worden opgeroepen.
Daarom vroeg aan de Rechtbankbode – vlak voor de zitting van 9 September 2025 09;00 uur, hoelang een zitiing duurt.
De Rechtbankbode zei dat ik alle tijd kreeg: “Net zolang al jij wilt.”
3.
Bij binnenkomst zei De tweede Rol-Kantonrechter: “U krijgt 5 minuten!”
Ik dacht direct: Deze heeft er geen zin in.
Ik had meteen moeten wraken.
5.
Ik nam meer minuten.
En moest snel het gehele verhaal, met op en aanmerkingen vertellen.
De Griffier zei niets.Ik kreeg de indruk dat zij met iets anders bezig was.
De tweede Rol-Rechter, heel snel schrijvend, noteerde ‘alles’.
Achtergrond:
1.
Perplexity AI verheldert dat sinds – 1 april 2024 / link – offertes van niet uitgevoerde werkzaamheden niet mogen worden geclaimd.
Toch is er een Kanton Rechtszaak (via AGIN Incasso) in het kader van de offerte van B&W (via Rots BV te Brummen).
Voor het niet herstellen van door mij verwijderde 10 centimeter bij de ‘Kit Kiki Plataan’.
De 30 jaar geleden door mij geredde ‘Kiki Plataan’ verdronk in een bak water.
Er was eveneens bevriezingsgevaar.
2.
Er is een niet gespecificeerde rekening voor verwijderen ALARM stoepkrijt.
De Groninger City Club had illegaal Zware Lichteieren in Monumentale Bomen gehangen.
B&W weigerde ze weg te halen.
3.
Wegens een idioot hoge rekening (125,=) voor administratiekosten.
Met de medeling:
-> dat als ik direct betaalde
_> en ik niet in discussie ging over de rekening
-> kreeg ik 50% korting op de administratiekosten.
Ik noem dat chantage.
Zeker voor iemand zoals ik: die al ruim 15 jaar geen contact met ambtenaren mag hebben.
Perplexity / link
Over het algemeen geldt dat gemeenten substantiële overheadkosten hebben, maar de directe doorbelasting naar burgers voor een offerte kan variëren.
€125,- is een relatief hoog bedrag voor een administratieve afhandeling van een offerte, wat erop kan duiden dat de offerte een uitgebreide of specialistische behandeling vereiste.
4.
Ik heb geen boetes voor de kit en de stoepkrijt gekregen.
Daartegen had ik bezwaar kunnen maken.
***********************************************
Visie Perplexity over onderstaand gebeuren / link
24 September 2025 – 12:09 uur
Mevrouw Kiki:
Zojuist ontving ik een brief (kenmerk 10339896, d.d. 19 -09 -2025, telefoon 14050) van Juridische Zaken van de Gemeente Groningen.
De ondertekenaar was kennelijk zo woedend dat zelfs mijn woonadres verkeerd is geschreven.
Ik ben op zoek naar een gerenommeerde kritische objectieve journalist.
GRONINGER FORUM.
Ik kan 2 jaar lang naar geen enkele bibliotheek waar het Groninger Forum bij is aangesloten.
Ik wil graag weten:
– Wat is het protocol van het opleggen van een gebouwverbod?
– Hoeveel mensen heeft de directie van het Groninger Forum een gebouwverbod opgelegd?
– Wat de gemiddelde duur is van zo’n verbod?
Mij is vorig jaar – zonder hoor en wederhoor – ter plekke een gebouwverbod voor 1 jaar opgelegd.
Dat gebouwverbod heb ik niet ondertekend. Ik weet de reden namelijk niet.
Ik heb dus geen bewijs.
Later is mij telefonisch meegedeeld dat het gebouwverbod 2 jaar duurt.
Ook daarvan heb ik geen bewijs.
Zowel de Directie, als de Raad van Bestuur, als de beveiliging weigeren op mijn brieven – met verzoek om uitleg – te reageren.
Vanochtend is telefonisch weer verklaard dat ik geen reactie krijg op mijn brieven om uitleg.
GRONINGER STADHUIS.
Ik heb nog steeds geen schriftelijke antwoord op mijn SPOED brief aan Burgemeester Roelien Kamminga.
Terwijl ik zelf bij de Stadhuisdeur buiten stond overhandigde ik aan een Stadhuis SPOED brief in voor Burgemeester Roelien Kamminga.
Ik werd boos op deze Stadhuisbode, omdat hij op mijn duidelijke vraag aan hem en mijn duidelijke uitleg, naar mij zeer vernederend was.
Toen hij de deur dicht deed zei ik slechts: ”Klootzak!”
Ik ben ervan overtuigd dat ik nog zeer minimaal en primitief reageerde.
Maar dat anderen (blinden, doven, rollattoren, rolstoelers) in mijn situatie het gehele woordenboek aan straattaal zouden hebben benut.
Ik wil graag weten.
– Hoeveel mensen hebben een Groninger Stadhuis verbod?
– Welk termijn is hen opgelegd?
– Mag Gemeentesecretaris Sander Gerritsen een Stadhuisverbod voor een half jaar
opleggen?
Is een Gemeentesecretaris daarvoor gemandateerd?
– Zonder hoor en wederhoor
**************************************************************************
22 September 2025
B&W blijkt een Bomenplan te hebben gemaakt voor t/m: 2075 / link.
Dat is tot voor over 50 jaar.
Ik wist van niks!
Maar de Gezinsbode wel.
Ja, dan leeft – ook u – misschien allang niet meer …

Foto: Groninger Binnenstads Boom
Dit alles troffen ik, een winkelbediende een zeer hulpvaardge passant, aan.
Zaterdagavond 21 September 2025.
Laten B&W en Groninger Gemeenteraad maar eerst eens voor de huidige Gorninger Bomen gaan zorgen.
Zoals mijn inzet en dat van anderen erkennen!
1. Mijn inzet, al ruim 30 jaar Boombeschermvrouwe erkennen.
2. Per direct het al ruim 15 jaar durende Ambtenaren Contact Verbod opheffen.
3. Mijn dagelijkse kosten vergoeden.
En onder andere teruggave van de jarenlange noodzakelijke voorlopige voorzieningen
bij de Rechtbank Noord Nederland:
Bodemverdichting Noorderzon,
Geluid Rammastein,
Verdrinken en bevroezen Kiki Plataan Grote Markt.
4. Schadelijk Noorderzon verplaatsen naar de Drafbaan.
5 Geen Oliebommenkramen of ander materiaal onder Boomkroon van de ‘Kiki Plataan’.
6. Geen Markkramen onder de Monumentale Bomen: NAAST de A-Kerk
(Zwier Vis of Zwerver of ander verkeer)
7. Geen herdenkingfestiviteiten onder de Bomen naast de Martinikerk.
Weer zonder bewortelingbeschermning.
8. De Kantonzaak stoppen: tegen mij wegens de ‘Kiki Plataan -Kít’!
9. Op ale pklekken in de Stad: Buiten de Boomrkonen blijven.
En niet meer elk groene locatie voor festivals benutten.
En die met (grote) schade achterlaten.
11. Eerlijke impressie van de toekomstge Kerklaan.
De valse impressie geeft GROTE BOMEN. En nagenoeg geen fietsers.
Na illegaal kappen van te veel Bomen.
Kerklaan en Kolfstraat Bomen mishandelen in hitte.
10. De waarden bepalen van de individuele Bomen (Noorderplantsoen – Betonbos -Damsterdiep Linden etc etc.)
Dat kan niet beweert Wethoudster Mirjam Wijnma in het DvhN / Perplexity link
“De Waarde van Bomen is niet in Geld uit te drukken.
DAT KAN AL 50 JAAR!!! / Methode Raad / link
De Methode Raad is rond 1970 ontwikkeld door ir. André Raad en werd in 1972
formeel geïntroduceerd als rekenmethode om de waarde van bomen te bepalen
voor schadeclaims en waardebepaling.
Deze methode werd tot 1 april 2005 breed gebruikt in Nederland.
En is toen vervangen door het Rekenmodel Boomwaarde / link
Boomwaardecalculator / link
***************************************************
22 September 2015
Geachte Gedeputeerde Karin Dekker.
Namens alle Groningers verzoek ik u om – per direct – goede onderzoeken / link uit te laten voeren.
En vooral niet achterover hangen.
*****************************************************
19 September 2025
Super Tramp / link
Good Bye Stranger
**********************************************
18 September 2025.
Kanton: ‘Kiki Kit Zaak”.
Ik heb al veel vaker – IN MIJN KRITIEK – aangegeven dat ik van mening ben
dat de RECHT-BANK NOORD NEDERLAND zich ontwikkelt tot een soort Casino.
Het is te bizar wat er gebeurd !!!!
-> De – vorige week vrijdagmiddag – door mij Gewraakte Rechter heeft
al afwijzend op mijn ‘pro forma’ wrakingenverzoek gereageerd, –
–> De Wrakingskamer schrijft daar ik daar niet meer op reageren.
Terwijl ik DIRECT bij mijn verzoek om wraking heb aangegeven: dat ik mijn wrakingverzoek nog moet aangevullen….!!!!
Bovendien is – afgelopen woensdag – mij telefonisch toegezegd dat ik 1 week tijd kreeg om mijn wrakingsverzoek aan te vullen.
Maar nu blijkt dat de door mij gewraakte Rechter toen al gereageerd.
***************************************************
18 September 2025
Grote SUV’s / link hangen in de Noorderplantsoenbuurt buiten de parkeervakken van de smalle straatjes.
Het blijkt dat in de Gemeente Groningen er NIET wordt gehandhaafd
als 3/4 van de auto (SUV’s) buiten het parkeervak hangt.
De heldere visie van Perplexity/ link
***************************************************
Prinsesjes Dag / link
Zoals Maxima verschrikt op de foto / linkl kijkt, zo keek ik ook verschrikt toen ik Alexander uit de radio hoorde zeggen dat er tot GOD gebeden wordt.
En 75% van de Nederlandse Be-Vol-King is ongelovig / link.
Be Vo King = Wees je eigen Koning.
In Nederland hebben wij de scheiding tussen Kerk en Staat.
Geloof is een pure privezaak.
Er zij net zoveel sterren en hemellichamen in de Kosmos als er zandkorrels op de gehele aarde zijn.
De Prachtige Aarde – waar wij met zijn allen op leven – is slechts 1 zo’n zandkorrel / link.
*****************************************************
Het regent buiten zwaar.
Maar Perplexity / link is grappig over mij.
*****************************************************
Perplexity – al dan niet nietig verklaren strafzaak / link
Ik heb veel vragen.
1.
Als Schuiling alleen maar bloed uit zijn mond wilde controleren, hoe lang was daarvoor het branden van het lampje maximaal nodig?
Hoe lang heeft het lampje gebrand?
Hoe minuten heeft Schuiling met het brandende lampje naast de vrachteagen gereden?
Waarom is Schuiling niet steeds achter de vrachtwagen blijven rijden?
2.
Schuiling meldt dat hij ook galproblemen heeft.
Had hij op dat moment ook gal overgegeven?
Heeft Schuiling verzocht om behandeling achter gesloten deuren.
De Strafrechter heeft dat afgewezen.
De Strafrechter mag geen openheid geven over wat zij achter gesloten deuren heeft gehoord.
Maar de essentiel vraag blijft:
Hebben Schuiling & zijn advocaat bij hun verzoek om behandeling achter gesloten deuren aan de Strafrechter en de Officier gemeld dat rukken absoluut onmogelijk is vanwege zijn erectieproblemen tengevolge van de Hartoperatie.
Of hebben zij dat nagelaten?
3.
Was dat te zien op zijn shirt?
Waarom was er niks te zien op zijn shirt?
4.
Heeft de Vrachtwagen chauffeur Schuiling ook spugende bewegingen zien maken?
5.
Een buik masseren doet men met een platte hand beweging.
Rukken is met een andere handvorm beweging.
Kan de vrachtwagen chauffeur buikmasseren en rukken door elkaar gehaald hebben?
Wat voor handbewegingen heeft de vrachtwagen chauffeur gezien?
6.
Wat en waarom heeft de chauffeur gemeld aan zijn collegae?
7.
Is het van belang dat een penis wordt gezien of doet dat r feitelijk niet toe?
8.
Sitalsing heeft in de NRC het over Schuiling met de broek naar beneden.
9.
Was de rit van Schuiling bovenbroek ook open?
Of was alleen de buikriem losgemaakt?
10.
Met onwel worden bedoelt men doorgaans tegen de vlakte /onderuit vallen.
Wat bedoelt Schuiling als hij het heeft over onwel worden.
11.
Hebben Schuiling en de Vrachtwagenchauffeur elkaar aangekeken tijdens het brandende lampje in de auto?
12.
Vindt Schuiling dat hij het verkeer – de vrachtwagen – in gevaar heeft gebracht?
13.
Vindt de vrachtwagenchauffeut dat Schuiling hem in gevaar heeft gebracht?
15 September 2025
Ik heb mij verdiept in de Schuiling buikpijn zaak’.
Ik ben bij de beide rechtszaken in Zwolle geweest.
Ik heb het NRC artikel gelezen.
Ik heb de Officier tijdens de zitting glashelder horen zeggen dat de vrachtwagenchauffeur heeft verklaard:
‘De auto reed lang naast mij. Ik zag iets dat ik niet wilde zien. Er komen steeds meer vrouwelijke chauffeurs en die willen dat ook niet zien.”
Nu ex- Burgemeester Koen Schuiling erkent dat zijn masseren van de buik anders kan overkomen, gaat het m.i. niet meer over wel of niet over de buik masseren.
Mijns inziens gaat het louter over welke – geschokte – indruk het op elke onbekende buitenstaander heeft.
Van een Grote Stad Burgemeester,
die juridisch is geschoold,
die overbekend is op het terrein van openbare orde en veiligheid,
die al jaren lang ervaringen heeft met visie’s over homosexuelen,
mag / moet men kunnen verwachten dat hij de algemene spelregels kent
– door iets over zijn losse buik te leggen
– zo snel mogelijk de vrachtwagen VOOR zich te laten rijden
– zelf zo SNEL mogelijk VEILIG de vluchtstrook op.
Anderen met (hevige) buikpijn hebben deze algemene handelswijze.
Is een verkeersboete ook nog mogelijk/noodzakelijk?
Juridische info:
Zelfs een situatie waarbij iemand zegt medische redenen te hebben (zoals hevige buikpijn), kan als schennis beoordeeld worden als de handelingen naar buiten toe als seksueel aanstootgevend overkomen, óók als de intentie volgens betrokkene onschuldig is.
Belangrijke factoren:
Het zichtbaar zijn voor anderen is doorslaggevend: als andere weggebruikers of omstanders het gedrag kunnen zien, is sprake van ‘in het openbaar’.
De beoordeling hangt af van objectieve criteria:
Het gaat niet (alleen) om wat de betrokkene beweert, maar hoe het gedrag op anderen overkomt en of het als aanstootgevend voor de eerbaarheid kan worden gezien in de samenleving.
*
Ex- Burgemeester vindt dat hij onvolledig aan bot geweest.
Pardon?
Met wie heeft hij allemaal gesproken en kunnen spreken…?
****
1.
ZIJN B&W zit mij met een boete achterna voor 3 woordjes snel te verwijderen kinderverf ‘Kiki Vrij Nu’ op ‘RO/EZ’ Zuiderdiep ramen.
Ik heb nooit iemand – van de Gemeente Groningen – daarover kunnen spreken.
Boete: €250,=
2.
ZIJN B&W heeft een Kantonrechtszaak over 10 centimeter Kit verwijdering, om de Kiki Plataan Grote Markt van verdrinkings dood te redden.
Kiki Kit Offerte: € 176,=
Alarm Stoepkrijt Milieudienst: €250,=
Administratiekosten: €125,=
Incassokosten: €400,=
3.
ZIJN B&W veroorzaakte
Voorlopige Voorzieningen Rechtbank:
3 x Noorderzon 2023, 194,=194,=194,=
1 x Rammstein: = > 194,=
1 x ‘Kiki Plataan Grote Markt’ – Oliebollenkraam in Boomkroon 194,=
————————————————————————
5 x €194,= €980,=
4.
ZIJN B7W veroorzaakte een rechtszaak over bizarre uitbouw overburen Schipperwoning
€ GROOT BEDRAG voor hoge advocaatkosten
4.
ZIJN B&W veroorzaakte een Rechtszaak Kerklaan / Kolfstraat opbouw
Voorlopige voorziening: €194
Beroep: €194
**************************************************************************
Ex Burgemeester Koen Schuiling heeft mij nooit willen spreken.
Ondanks dat mij al ruim 15 jaar eenzijdig een Ambtenaren Contact Verbod is opgelegd.
Zonder hoor en wederhoor
Zonder beleid.
Een heel zwaar besluit dat mij al ruim 15 jaar uitermate schaadt in mijn inzet voor het behoud van Bomen in de Stad Groningen.
Ik heb 14 electroshoks gehad.
Sindsdien mail ik met NIEMAND.
Ik word knetter van het beeld stampvol tekens en maffe zinnen.
*
Er gaat – in de Gemeente Groningen – op zoveel vlakken van alles mis,
dat ik met SPOED een gesprek met Burgemeester Roelien Kamminga wil.
Omdat ik mijn verzoek niet voor elkaar krijg, heb ik mijn verzoek op papier gezet.
Ik heb nog steeds geen offiele reactie.
Ik heb een telefonisch contect met Medewerker LinkedIn A vernomen dat er geen gesprek met de Burgemeester komt.
“Omdat er veel aan de hand is! “
Medewerker LinkedIn A wilde niet nader aangeven wat er aan de hand was.
En als er veel aan de hand is, is er juist reden des te meer reden om een SPOED gesprek met Burgemeester Roelien Kamminga.
Toen ik mijn SPOED verzoekbrief afleverde, bij de deur van het Groninger Stadhuis,
vroeg ik aan de bode hoe ik met SPOED met de Burgemeester in contact kom.
”U moet mailen!”
Ik zei dat ik dat niet kon wegens een hersenbeschadiging.
Ik herhaalde mijn vraag.
”U moet mailen!”
Ik zei dat ik dat niet kon wegens een hersenbeschadiging.
Vervolgens deed hij de deur dicht en riep ik:
“KLOOTZAK!!!”
Als hij niet wil luisteren dan moet hij dat weten.
Maar ik laat mij niet vernederen.
Doet hij ook zo tegen een blinde?
Doet hij ook zo tegen een rolstoller?
B&W blijkt – daarop – weer een eenzijdig besluit tegen mij te hebben genomen.
Onlangs kreeg ik van de Interim Gemeentesecretaris Sander Gerritsen,
namens B&W, zijn brief.
Hij heeft mij een half jaar een Stadhuisverbod opgelegd.
Weer – zonder hoor en wederhoor.
Is dat B&W wangedrag en/of juridisch falen….?
Ach, niet naar dat inpandig gruwelijk sfeerloze en kleurloze lelijk verbouwde Groninger Stadhuis hoef ik niet.
Ik heb daar helemaal niets te zoeken.
Ik ben niet de enige die geen vertrouwen heeft in B&W, de politiek en de rechtpraak/ link.
Er ontstaat vanzelf een Gezond Bypass Systeem.
Mij visie:
“De brutalen hebben de halve wereld.
De leuke de andere helft.”
15 September 2025
Ik heb mij verdiept in de Schuiling buikpijn zaak’.
Ik ben bij de beide rechtszaken in Zwolle geweest.
Ik heb de officier glashelder horen zeggen dat de vrachtwagenchauffeur heeft verklaard:
‘De auto reed lang naast mij. Ik zag iets dat ik niet wilde zien. Er komen steeds meer vrouwelijke chauffeurs en die willen dat ook niet zien.”
Nu ex- Burgmeester Koen Schuiling erkent dat zijn masseren van de buik anders kan overkomen,
gaat het niet meer over wel of niet masseren.
Mijns inziens gaat het louter over welke – geschokte – indruk het op elke onbekende buitenstaander heeft.
Van een Grote Stad Burgemeester,
die juridisch is geschoold,
die overbekend is op het terrein van openbare orde en veiligheid,
die al jaren lang ervaringen heeft met visie’s over homosexuelen,
mag / moet men kunnen verwachten dat hij de algemene spelregels kent
– door iets over zijn losse buik te leggen
– zo snel mogelijk de vrachtwagen VOOR zich te laten rijden
– zelf zo SNEL mogelijk VEILIG de vluchtstrook op.
Anderen met (hevige) buikpijn hebben deze algemene handelswijze.
Is een verkeersboete ook nog mogelijk?
Juridische info:
Zelfs een situatie waarbij iemand zegt medische redenen te hebben (zoals hevige buikpijn), kan als schennis beoordeeld worden als de handelingen naar buiten toe als seksueel aanstootgevend overkomen, óók als de intentie volgens betrokkene onschuldig is.
Belangrijke factoren:
Het zichtbaar zijn voor anderen is doorslaggevend: als andere weggebruikers of omstanders het gedrag kunnen zien, is sprake van ‘in het openbaar’.
De beoordeling hangt af van objectieve criteria:
Het gaat niet (alleen) om wat de betrokkene beweert, maar hoe het gedrag op anderen overkomt en of het als aanstootgevend voor de eerbaarheid kan worden gezien in de samenleving.
*
Ex- Burgemeester vindt dat hij onvolledig aan bot geweest.
Pardon?
Met wie heeft hij allemaal gesproken en kunnen spreken…?
*
ZIJN B&W zit mij achterna voor 3 woordjes snel te verwijderen kinderverf ‘Kiki Vrij Nu’ op ‘RO/EZ’ Zuiderdiep ramen:
Boete: €250,=
Zijn B&W heeft een Kantonrechtszaak over 10 centimeter Kit verwijdering, om de Kiki Plataan Grote Markt van verdrinkings dood te redden.
Kiki Kit Offerte € 176,=
Alarm Stoepkrijt Milieudienst €250,=
Administratiekosten €125,=
Incassokosten €400,=
Zijn B&W veroorzaakte
Voorlopige Voorzieningen Rechtbank:
3 x Noorderzon 2023, 194,=194,=194,=
1 x Rammstein: = > 194,=
1 x ‘Kiki Plataan Grote Markt’ – Oliebollenkraam in Boomkroon 194,=
————————————————————————
5 x €194,= €980,=
Zijn B7W verorzaakte een rechtszaak over bizarre uitbouw overburen Schipperwoning
€ GROOT BEDRAG door hoge advocaatkosten
Zijn B&W veroorzaakte een Rechtszaak Kerklaan / Kolfstraat opbouw
Voorlopige voorziening: €194
Beroep: €194
**************************************************************************
******
15 September 2025 – 13:13 uur.
Groninger Gehandicapte Bejaarde loopt op stoep: met fietshelm op.
Niet te geloven, maar het is echt waar!
Terwijl ik het onderstaande, over veilige stoepen, aan het uitzoeken ben,
komt er een door de fiets op de stoep aangereden bejaarde dame langs lopen.
Zij is – door dat fietser op de stoepongeluk
voor haar hele leven slecht lopend.
Tot voor kort liep zij alleen rollator of met een stok.
Nu heeft ze – OP DE STOEP LOPENDE – ook een fietshelm op !!!!
De Gemeente Groningen wil de Kerklaan verbouwen
Wellicht is mijn zoektocht ook voor u een goede reden
om de visie van Perplexplity Kerklaan/ link goed te lezen.
Het is vele malen veiliger, VOOR IEDEREEN, als de Groninger Gemeenteraad besluit dat deze Kerklaan verandering NIET doorgaat!
NIET doorgaat!
NIET doorgaat!
NIET doorgaat!
Wanneer gaat burgmeeester Roeloen Kamminga met mij om tafel?
*****************************************************
Visie van Perplexity / link
15 September 2025
AGIN Incasso onaanspreekbaar.
Tot mijn spijt blijkt het hoofd van de juridische afdeling van Agin Incasso ((Mevrouw C.Jansen) niet aanspreekbaar te zijn.
Ik wil van AGIN Incasso weten hoe de medewerker aan 20 centimeter komt.
Mevrouw C. Jansen weigerde daar op in te gaan.
Zij vond dat ik dat aan de Kantonrechter moet voorleggen.
In de Kantonrechtszaak – wegens de 10 cm Kit door mij weggehaald bij de ‘Kiki Boom op de Grote Markt te Groningen’ geeft AGIN Incasso – veel en rare – fouten gemaakt.
1. Ik beweer – in het gehele dossier – dat ik 10 centimeter heb weggehaald.
2. De AGIN Incasso medewerker beweert – zonder bewijs – dat het 20 cm is.
3. De Kantonrechter maakt er eigenhandig: 15 centimeter van.
Eveneens zonder bewijs.
**************************************************
15 September 2025
Loeier van een Pick up, te klein voor historisch straatje.-
15 September 2025
Ik heb zojuist twee plukjes viooltjes in een pakeervak langs de stoep gered.
De afdeling Goen heeft Grijs erbij gekregen.
Nu moeten zij alle weg halen wat onkruid is.
Ik vind het hoogste tijd dat de Groninger Stadsecoloog aan de afdeling Grijs ( die Groen erbij heeft gekregen) moet uitleggen wat weg kan en wat zeer gewenst is om te blijven. blijft.
******************************************************
DvhN 12 September 2025
“De waarde van Bomen kun je niet uitdrukken in geld.”
Liegt wethoudster Mirjam Wijnja (GroenLinks)
In een sluiptocht van het DvhN en wethoudster Mirjam Wijma (GroenLinksaf)
proberen beiden onder de financiele schadekosten uit te komen
die aangericht wroden door BOOMSLOOP.
Zaken als:
Betonbos, Damsterdiep Bomen, Noorderzon jarenlange schade’s, illegaal kappen Kerklaan,
‘Kiki Plantaan Grote Markt’, Bomenbosje Grote Markt, A-Kerk Bomen, Stadstrand Linde, Vrijdag Ginkgo, Monumentale Bomen Nieuwe Kerk: etc, etc. etc.
Er zijn al jaren lang Boomtaxateurs.
Wikipedia geeft een helder overzicht / nl.
Perplexity / link
Kunnen ook Stadjers een motie van wantrouwen indienen?
******************************************************
13 September 2025
Perplexity geeft uitleg over wangedrag B&W Groningen / link
B&W stuurde mij een hun Dwarslig Brief.
B&W weigert het gehele (mini) dossier van mijn WOO verzoek over de dakopbouw van de : Karakertistieke Schipperwoning tegen over mij.
Zij vinden mijn WOO verzoek te ruim.
Ook erkennen zij – uit zichzelf – dat zij in deze zaak post naar een verkeerd adres hebben gezonden.
******************************************************
12 September 2025
Wordt de opening Zuiderplantsoen tweede Rammstein?
Rijskwaterstaat heeft een vergunning gekregen voor o.a. geluid: 100 db(A).
De opening – morgenmiddag – gaat om een markt, een braderie en podia.
Ik vroeg Perplexity wat de gevolgen zijn: voor de kinderen, de omgeving (Sterrebos) en het verkeer in de onderliggende verkeerstunnel / link
********************************************************
12 September 2025.
PERSBERICHT 1.:
KantonRechter heeft eigen idee over lengte van 10 CENTMETER.
KantonRechter kliert om kit en speelt rondje Casino.
Visie van Perplexity – even alles lezen! / link
Op dinsdag 9 Septemberrrrr 2025 vond de Kantonzaak plaats.
Die rechtszaak ging over offerte van Rots Bv te Brummen. wegens de door mij – op 5 januari 2025 – met SPOED verwijderde 10 centimeter kit bij de stam van de ‘Kiki Plataan Grote Markt’.
A.
De ‘Kiki Plataan’ dreigde in een bak water te versuipen en te bevriezen.
B&W greep niet in.
Volgens mij gaat het dus om:
> 10 CENTIMETER KIT.
B.
AGIN Incasso beweert dat het meer is, het dubbele:
>20 CENTIMETER KIT.
Dat is onjuist en kan SIMPELWEG niet waar zijn: gelet op de beperkte hoogte (+/- 40 centimeter) van de stenen rondom de stam.
Ik heb namelijk opzettelijk niet de helft, maar een kwart, verwijderd.
Dat is met foto en al ter zitting met de Kantonrechter in het bijzijn van de Griffier besproken.
C.
Nu blijkt deze Kantonrechter
ZELF plotseling, onverwacht en zeer ongewenst
een compleet NIEUWE LENGTE van de verwijderde kit te hebben BEDACHT:
> 15 CENTIMETER KIT.
Deze NIEUWE Lengte beweert ze HAAR schriftelijke snelle weergave van deze zitting, van afgelopen woensdag 9 september 2025.
PERSBERICHT 2.:
Ik probeer al weken lang om met SPOED in gesprek te komen met Burgemeester Roelien Kamminga, wegens de Kerklaan en de veelheid van andere zaken.
Burgemeester Koen Schuiling weigerde ook zijn inzet om meerdere juridische zaken op te lossen.
Mede door hem is het mij – al ruim 15 jaar lang – eenzijdig opgelegde Ambtenaren Contact Verbod nooit besproken noch opgeheven.
Er heeft dus nooit hoor en wederhoor plaats gevonden.
Dat verbod is mij opgelegd zonder beleid.
Visie volgens Perplexity over dergelijk handelen / nl.
Visie van Investico en Ombudsmannen / nl
In Schuiling’s eigen zaak is hij ook onhandig geweest in de openheid van het gebeurde.
Zijn medische klachten zijn algemeen.
Zijn medische klachten zijn door de Zwolde Strafrechter niet erkend als te prive waardoor behandeling achter gesloten deuren plaats zou moeten vinden.
Dat werd dus een openbare zitting.
Ik was aanwezig.
En wordt er steeds meer gesmeerd in de vlek.
Tot mijn spijt kan ik de NRC niet op internet lezen / link
***********************************************************************************
11 september 2025
Kerklaan Groningen: Toch een Rechtszaak?
De straat is van iedereen – Marco te Brömmelstroet / link
Jammer genoeg is een gang naar de Rechter logisch en noodzakelijk.
De B&W geeft in haar impressie een niet bestaande werkelijkheid weer.
Ik ben van mening dat B&W Groningen – op meerdere aspecten – geen of onjuiste info verstrekt.
Zo ontbreekt een plattegrond info over de huidige situatie.
De info over het aantal ongelukken ontbreekt.
In de huidige brede situatie gebeuren er zelden tot nooit ongelukken.
Dat komt door de veiligheid: van de breedte van de straat.
De vele fietsers fietsen met zeer velen naast elkaar.
En zij halen elkaar snel in.
Ook op de stoepen lopen veel bewoners, kinderen en anderen.
Terwijl ik – op de stoep – ook nu al te vaak fietsers tegen kom.
De nieuwe situatie wordt op te veel vlakken: ZEER ONVEILIG.
Met de toegenomen enorme hoeveelheid aan studentfietsers, buurtfietsers, geparkeerde leveranciers met busjes, auto’s op de stoepen, ouderen met rollators, etc. etc.
*
Vanmorgen is een medewerker van aannemer de Wilde / link begonnen met – met de spuitbus in de hand en de landmeter aan zij zijde, om witte huisnummers op de stoep in de Kerklaan te Groningen te spuiten.
Ik probeerde met de medewerker in gesprek te komen.
Dat ging slechts over de feiten van de info op de Gemeente Groningen website.
Jammer genoeg kwam het niet tot een gesprek.
Hij verwees naar de Gemeente Groningen.
Op de definitieve B&W website-plattegrond / link staan GEEN geveltuintjes ingetekend.
Op die definitieve kaart verdwijnen deze gevel tuintjes dus.
Deze Wilde medewerker beweerde dat die geveltuintjes WEL blijven.
De aannemer moet dus een ANDERE definitieve kaart hebben.
-> Burgemeester Roelien Kamminga,
-> B&W
-> Gemeentesecretaris Sander Gerritsen,
-> Gemeentelijke Verkeersdeskundigen
– > Aannemer van de Wilde
willen niet in gesprek op basis van de door mij geconstateerde meerdere onjuistheden.
Definitief ontwerp / link
Kerklaan Buurtstraat (Smalle) Fietsstraat Gemeente Groningen – info / link
Kerklaan nieuwe impressie 1 / link
Kerklaan nieuwe impressie 2 / link
Een fietser filmde in Kerklaan 15 jaar geleden / youtube link
Huidige verkeers situatie gefilmd door OOGTV – geen wandelaar gezien / link
Historische foto / link
Oude foto situatie Vrachtwagen COOP / link
Korreweg (Brede) fietsstraat Groningen / link
***********************************************************************************
Perplexity vragen over situatie Koen Schuiling / link
***********************************************************************************
‘Kiki Plantaan’ Rechtszaak op 9 September 2025
Bomen voor de Kantonrechter.
Oproepkracht in dienst van de Natuur / link
Mevrouw Kiki blij: Boom voor V&D mag blijven. 21 -8 – 1996 / link.
Perplexity over de Claim’s. /link
‘Projectleidster Jola Meijer wilde de Plataan destijds weg hebben.
Motivatie: “De Boom is te Anton Pieckachtig”.
Vorig jaar bedankte mij voor het behouden van de ‘Kiki Plantaan’.
Morgen staat de Boom ‘ZELF’ voor de Kantonrechter.
Steeds vaker krijgen Rivieren, Zeeen en nu dan: Bomen een eigen stem.
Voor het eerst in de geschiedenis van de Gemeente Groningen zullen dinsdag meerdere Groninger Binnenstads Bomen ‘ZELF’ voor de Kanton Rechter verschijnen.
B&W weigerde te voldoen aan haar wettelijke zorgplicht.
Daarom heb ik – BIJ NOOD – heb ingerepen.
B&W heeft mij – voor mijn inzet van NOOD hulp – 3 hoge bedragen gestuurd.
Ik weiger die te betalen.
1.
Een OFFERTE voor verwijdering van 10 cm kit: om water te verwijderen:
-> € 176,=
2.
Een Milieudienst – niet gespecifieerde – Schoonmaakrekening van STOEPKRIJT:
– > € 250,=
3.
Een hoog bedrag aan Administratiekosten:
-> € 125,=
4.
Hoge incassokosten van incassobedrijf AGIN.
************************************************************
Dinsdag 9 september 2025 om 09.00 uur
is een Comparitie zitting (?) bij de Rechtbank Noord Nederland over de ‘Kiki Plataan Grote Markt’.|
Rechter mr. E.J. Oostdijk (procesrechter) heeft tijdens een zitting, waarbij B&W afwezig was, mij toegezegd dat er een comparitie zitting zou komen.
Opmerkelijk:
Die toezegging is niet in het procesverbaal van zitting terecht gekomen!
Achtergrond van de kantonrechtszaak:
I. PLATAAN.
Ik heb op 5 januari 2024 eigenhandig 10 centimeter kit verwijderd rondom de ‘Kiki Plataan Grote Markt.
Het water rondom haar stam liep niet weg: wegens bodemverdichting van de grond.
Er was dus grote kans op een verdrinkingsdood en bevriezing.
B&W (Top) Ambetnaar LinkedIn weigerde in te grijpen.
B&W heeft mij geen boete opgelegd.
Daartegen had ik bezwaar kunnen maken.
*
B&W claimt nu van mij een EXTREEM HOOG BEDRAG (€ 176,= )
voor nog niet steeds uitgevoerde herstel van 10 centimeter kit!
-> VIA: EEN OFFERTE (!!)
-> DUS NIET VIA: EEN GESPECIFICEERDE REKENING (!!!)
Let op:
Een Incassobureau (AGIN) en B&W mogen NIET de betaling van een OFFERTE claimen.
PERPLEXITY/ LINK
Een incassobureau mag alleen incassokosten claimen die wettelijk zijn toegestaan en die betrekking hebben op de openstaande vordering.
Dit betekent dat zij niet zomaar een offerte mogen claimen voor kosten die niet hersteld zijn of waarvoor geen werkelijke vordering is.
Incassokosten moeten conform de Wet Incassokosten berekend worden en mogen alleen aan de debiteur worden doorberekend als de oorspronkelijke factuur achterstallig is.
*
>>> De OFFERTE is van Rots BV Brummen/ link.
Rots BV Brummen heeft bovendien nagelaten om B&W te ADVISEREN om de kit door een goed LOKAAL bedrijf te laten herstellen.
Rots BV Brummen heeft de fonteinen op de Grote Markt aangelegd.
Het bedrijf is – in het gehele land – meer binnensteden werkzaam.
>>>> AGIN INCASSO beweert NU ZWART OP WIT – naar de Kantonrechter – dat de 10 centimeter kit is hersteld.
DIT IS ONJUIST.
Stadjers noemen op dergelijke wijze geld proberen te krijgen via: LIEGEN!
II. STOEPKRIJT: TEGEN ILLEGALE LICHTEIEREN IN BOMEN
B&W claimt bovendien, ook via AGIN – een niet nader gespecificeerde REKENING VAN DE GEMEENTELIJKE MILIEUDIENST: voor het verwijderen van stoepkrijt.
III. VERBODEN
B&W VERBIEDT MIJ- schriftelijk – ELK CONTACT MET DE BOMENAFDELING.
Het is dus volstrekt onduidelijk of ik gelijk heb door de 10 centimeter kit te verwijderen of niet.
Kortom: ook de Gemeentelijke Boom professionals moeten zwijgen.
Bovendien rijst de vraag:
“Als herstel van de 10 centimeter kit nodig is, waarom is dat dan al 1,5 jaar niet gebeurd?
Ik heb vanalles geprobeerd:
> Wethouders grijpen niet in.
> Voormalig Burgemeester Koen Schuiling was onaanspreekbaar.
> Voormalige Gemeentesecretaris Christoen Bronda was onaanaanspreekbaar.
> Burgemeester Roelien Kammings is onaanspreekbaar.
> Gemeentesecretaris Sander Gerritsen is onaanspreekbaar.
> (Top) ambtenaar LinkedIN is onaanspreekbaar.
> (Top Ambtenaar LinkedIN heeft het helemaal uit de hand laten lopen.
> Bomenafdeling mag niet worden bereikt
> De lokale Pers pakt deze bizarre situatie niet op.
Wellicht de ‘enige’ oplossing:
Kit er weer in.
Boom dood.
Hoef ik niet meer voor de ‘Kiki Plataan Grote Markt’ te zorgen.
Is Groningen meteen van haar NEPPERIGE Groene Reclame Imgo af.
Maaaaaarrrrrr.
Wist u al dat Rijkswaterstaat ‘Het Zuiderplantsoen’ wil openen op 13 september 2025?
Met 100 db(A) aan herrie.
Voor een marktje en een braderie..
NAAST HET KWETSBARE STERREBOS – MAXIMAAL 85 db(A)
U kunt uw kinderen en dieren thuis laten.
Volgens Perplexity AI/ link kan het schrikreacties geven in de ondergrondse verkeerstunnel.
Daaronder rondjes rijden is dus ook geen goed idee…
*********************************************************************
Dinsdag 2 September 2025 Trouw (Papier Pagina 6 & 7)
Duurzaamheid en Natuur – Jessica den Outer
” De samenleving is klaar om de rechten van de natuur te erkennen.”
Jessica den Outer sprak de Duurzame Troonrede 2025.
Wende Snijders – Mens durf te leven – 0:04 – 0:07 minuut / link
Als je geluk hebt, dan spat op een dag de ballon uitelkaar.
Als je nog meer geluk hebt, dan wordt je omringt door liefhebbenden die niet proberen je weer in hun ballon te duwen.
De Grote Kosmos draagt je.
Met de Schitterende Aarde zachtjes onder je voeten.
Mevrouw Kiki. “Mijn visie op geld:
Koud Geld Projecten = Projecten met veel geld.
Niemand blij.
Alleen de geldharker.
Warm Geld Projecten = Projecten met veel geld.
Iedereen blij.
Voor de korte en langere termijn.”
**********************************************************************************
4 September 2025
Bij deze van harte gefeliciteerd, al die inzetters / link die ons duidelijk maken dat er een stikstof probleem is!
Perplexity legt ook mij ook e.e.a. uit…/ link
Over het MEGA festival Noorderzon 2025 en kwetsbare Natura 2000 gebieden … / link
***********************************************************************************
4 September 2025
Binnenlands Bestuur/ link heeft een rapport over het Gelijkheidsbeginsel voor IEDEREEN!
(*) Gemeentewebsite geeft geen info over de Gemeentesecretaris. Waarom niet ? / link
Vragen:
1. -> Handelt interim Gemeentesecretaris Sander Gerritsen 100% strijdig met het
Gelijkheidsbeginsel door mij diverse verboden op te leggen: zonder hoor en wederhoor?
2. -> Handelt B&W strijdig met het Gelijkheidsbegindsel door hem niet te corrigeren?
Ik vraag mij af wat er met hem – in de korte tijd – in zijn functie binnen het Groninger Gemeentebestuur is gebeurd?!
Hij legt mij nu – onrechtmatig – verboden op zonder enig gesprek!!!
(**) Het afscheidsinterview vorige baan van Sander Gerritsen/ link
(Voorzitter van de stuurgroep van het programma Medicatieoverdracht.)
Hij vertoont nu al gedrag wat hem kennelijk niet natuurlijk is.
Dat is zeer opmerkelijk, want in zijn afscheidsinterview zegt hij notabene:
“Ik heb geprobeerd om mensen echt te spreken.
Niet alleen in de vergaderingen, maar ook erbuiten.
Bellen, koffiedrinken, vragen: waar loopt jouw sector tegenaan, wat hebben jullie nodig?
Investeren in relaties helpt.”
(…)
De grootste uitdaging voor Sander was de complexiteit van het programma. “Er zijn zoveel actoren en factoren die allemaal in elkaar grijpen. Het is complexer dan alles wat ik hiervoor heb gedaan.” Maar juist die complexiteit maakt het ook leuk:
“Ik hou ervan om te redeneren vanuit de basis:
waarom doen we dit, wie is waarvoor verantwoordelijk? Het dwingt tot helder denken.”
*************************************************************************************************
——–——–> DAMSTERDIEP BOMEN BEDREIGD !!! <——–
De officiele bekendmaking vergunning verplanting en kap / 18 juli 2025 link
Deze meldt 22 Bomen verplante en 4 Bomen kappen.
Nationale Bomenbank werkt er OOK aan mee… /link
Die hebben het OOK over 40 Lindes.
OOGTV Damsterdiep Bomen krijgen twee jaar ‘vakantie’ / 2023 link
Ik vind het een misselijk makende kop: voor de sloop van 40 Grote Beeldbepalende Bomen.
Terwijl er geen plannen voor de definitive planplek is.
Op de foto de schaterend lachende wethouderster Mirjam Wijma (GroenLinksaf) in een grijpkraan. Bouwkavel achtergond. Geen Boom te zien.
*
Het is bij de vergunningverlening rondom het Betonbos een enorme chaos.
DAAROM vraag ik mij af OF en HOE
B&W en de Projectontwikkelaar van Stadshavens / link
de aanwonenden van het Damsterdiep aktief ‘over de kapvergunning’ hebben geinformeerd.
Ik heb de indruk dat beiden een KNETTER VALSE impressie-tekening de wereld in hebben gegooit.
De impressie-tekening gesuggereert dat het Damsterdiep EEN LANGE GROENE STROOK WORDT.
DEZE STROOK IS NERGENS (!!!) IN DE PLANNEN TERUG TE VINDEN!
Vraag:
HOE ZIJN DEZE ZOMER (2025)
– Alle aanwonenen van het Damsterdiep – aktief op de hoogte gebracht van de op 18 juli 2025 verleende vergunning?
Voor:
-> de kap van 4 Bomen
-> de verplanting: 22 Bomen
-> de sloop van slechts 17 m2 bossages (= houtopstand) …?
Vraag:
Heeft iemand bezwaar gemaakt?
*
Wonder oh wonder / link
-> De geroofde Damsterdiep Bomen zijn niet terug te vinden in de gelikte plannen van ”Deze Club’.
Ook is er geen beeld van het uitzicht wat de huidige bewoners van het Damsterdiep kunnen verwachten NA de Bomensloop en de Nieuwbouw.
Rapport Goudappel / link
Ik kan het rapport niet meer vinden!
Streetview / link
********
De bomen worden over twee jaar verplaatst naar een andere locatie en blijven daar staan, totdat de wijk Stadshavens klaar is om ze weer te ontvangen.
De groep lindebomen, waarvan de meeste exemplaren in 1991 werden aangeplant langs het Damsterdiep, staan over twee jaar in de weg als de bouw van de nieuwe wijk Stadshavens gaat beginnen.
De bomen worden niet gekapt, maar bewaard voor herplanting in hetzelfde gebied.
Dat is volgens wethouder Mirjam Wijnja, die donderdag zelf ook een boom afstak voor de herplant, best een unieke operatie:
“Het gebeurt niet vaak dat op deze schaal zulke grote bomen gaan verhuizen.
Dat vraagt een jarenlange zorgvuldige voorbereiding. Stadshavens wordt een echte stadswijk met veel groen.
Goed dat deze bomen weer terugkomen in het gebied.”
De gemeente verhuist de bomen dus pas over twee jaar.
Maar om ervoor te zorgen dat de bomen de verhuizing aankunnen, wordt de wortelkluit van de linden nu alvast uitgegraven.
De wortels van de bomen worden bewust beschadigd, zodat de bomen nieuwe wortels aanmaken in de juiste richting.
Zo raken de wortels niet beschadigd als ze, met kluit, naar het ‘bomenhotel’ worden gebracht.
Waar het ‘hotel’ komt, is nog niet bekend.
Groningen heeft op dit moment ook al een bomenhotel in gebruik.
Vijf jaar geleden werden 52 lindes langs de Lübeckweg al naar een ‘hotel’ gebracht bij de voormalige stortplaats van de Stainkoel’n aan de Winschoterweg.”
*******************************************************************
TE BIZAR!!
Dinsdag 2 September 2025 – 10.00 uur
Mevrouw Kiki:
“HET BOYCOTREGIME TEGEN MIJ – BLIJKT OP VOLLE TOEREN TE DRAAIEN.
MAAR…
LIEVE STADJERS,
WEET DAT OOK U TERECHT BENT GEKOMEN IN HET GRONINGER BESTUURLIJKE
REGIME!!!
Ik probeerde zojuist diverse betrokken – verantwoordelijke – wethouders te benaderen.
Wegens de extreem lange lijst van onderwerpen waarvan de problemen MOETEN worden opgelost.
Het blijkt dat er een zware boyvot ligt om met mij in gesprek te gaan.
Maar het blijkt ook dat de verantwoordelijke wethouders weigeren om hun ambtenaren
corrigereren bij te onaanvaarbare en te grove fouten.
Door de boycot wordt zelfs de belangrijkste ambtenaar – de interim Gemeentesecretaris Sander Gerritsen niet gecorrigeerd – op zijn eenzijdig, zonder hoor en wederhoor, ‘B&W Bief’ van vorige week.
Met weer – tegen mij – zwaar onterecht opgelegde verboden.
Notabene 3 secretariaten van de betrokken wethouders verwezen mij telefonisch
naar: (Top) Ambtenaar LinkedIN.
Maar (Top) Ambetenaar LinkedIN. is de spil van het misfunctioneren tussen mij en het
ambtenarenapparaat en het bestuur.
Ook dat heb ik meerdere keren aangegeven.
(Top) Ambtenaar LinkedIN.WEIGERT VAN HAAR FUNCTIE AF TE GAAN.
ONDANKS HET JARENLEANGE FEIT
DAT VOOR HAAR FUNCTIE NOG STEEDS GEEN BELEID IS!.
Ook daarop kan ik mij dus NOG STEEDS NIET beroepen.
Ik vind het de allerhoogste tijd dat er van bovenaf wordt opgelegd dat er een gedegen
integriteitsonderzoek wordt gedaan.
Want dit REGIME treft inmiddels IEDEREEN!
*******
Op internet staat deze opmerkelijke brief… / link
Dit WOO verzoek is niet van mij!
Maar …. de mij opgelegde maatregelen in ‘B&W Gemeentesecretaris Brief’
is mede gebaseerd op mijn vorm van straattaal.
Er is dus weldegelijk verboden termnologie…!
*
Gechte Heer (zwart gemaakt)
Op 14 april 2025, door ons ontvangen op 15 april 2025, heeft u de gemeente Groningen met een beroep op de Wet open overheid (Woo) verzocht om openbaarmaking van informatie (artikel 4.1 Woo).
U verzoekt om openbaarmaking van informatie inzake verboden of
afgeraden terminologie binnen de gemeente.
Besluit
Wij wijzen uw verzoek om openbaarmaking van informatie af.
Hieronder lichten wij dit besluit nader toe.
Toelichting
Naar aanleiding van uw Woo-verzoek is binnen de afdeling communicatie en de afdeling
woordvoering uitvraag gedaan of er lijsten zijn met verboden of afgeraden terminologie.
De gemeente Groningen maakt geen gebruik van lijsten met verboden of afgeraden
terminologie.
Wij beschikken dus niet over de gevraagde informatie.
*******
IK HEB DE SITUATIE VOORGELEGD AAN:
Perplexity AI
Vraag:
Mag de Groninger Gemeenteraadsecretaris Sander Gerittsen – namens B&W – een Stadjer meerdere maatregelen en verboden EENZIJDIG opleggen: ZONDER hoor en wederhoor?
Indien dat toch is gebeurd, wat moet de Groningse B&W vervolgens doen om deze zeer ernstige fout te herstelllen?
Antwoord:
De Groninger Gemeenteraadsecretaris of iemand namens het College van B&W mag niet eenzijdig, zonder hoor en wederhoor, meerdere maatregelen of verboden aan een Stadjer opleggen.
Dit is fundamenteel in strijd met de algemene beginselen van behoorlijk bestuur, waaronder het beginsel van “hoor en wederhoor” (artikel 4:8 Algemene wet bestuursrecht). Deze waarborg is beschreven door onder andere de Nationale Ombudsman, zoals ook nadrukkelijk bleek uit de casus Maasgouw (2010), waar werd geoordeeld dat het niet toepassen van hoor- en wederhoor een ernstige fout is.
Juridisch kader en beginselen
- Hoor en wederhoor is verplicht bij het nemen van besluiten waardoor burgers worden geraakt, zeker als er sprake is van een sanctie of maatregel.
- Het College van B&W is gehouden om burgers altijd de gelegenheid te geven hun zienswijze te geven voordat ingrijpende besluiten worden opgelegd.
Herstel bij schending hoor en wederhoor
Indien het College toch zonder hoor en wederhoor besluiten heeft opgelegd, moet het deze ernstige fout herstellen door:
- Het eerdere besluit onmiddellijk te herroepen of intrekken.
- De betrokken Stadjer inhoudelijk te horen en alle argumenten en bezwaren serieus in beschouwing te nemen.
- Een nieuw besluit te nemen dat wél recht doet aan de input van de burger, dus na een zorgvuldig proces hoor en wederhoor.
- Indien nodig, excuses aan te bieden en de burger te compenseren voor geleden nadeel, afhankelijk van de ernst en gevolgen.
De Groningse B&W zouden daarmee het vertrouwen in behoorlijk bestuur moeten herstellen, conform de richtlijnen van de Nationale Ombudsman en de bestuurlijke wetten.
Toepassing ombudsman-uitspraken
De situatie in Maasgouw (2010) bevestigde reeds dat het niet toepassen van hoor en wederhoor de overheid ernstig in gebreke stelt.
Dit geldt dus ook ongeacht plaats of specifieke gemeentelijke functionaris; deze zorgvuldigheidsnorm is universeel van toepassing binnen het Nederlands bestuursrecht.
Conclusie:
Hoor en wederhoor is altijd verplicht vóór het opleggen van ingrijpende gemeentelijke maatregelen aan burgers. Als dit ten onrechte achterwege blijft, moet het besluit herroepen en het proces overgedaan worden mét naleving van deze rechtsnorm.
***********************************************************************************
Zaterdag – 30 Augustus 2025 – 12:32
Aan ALLE Stadjers, Alle Groninger Wethouders/ link en Alle Gemeenteraadsleden.
Ik heb op 29 augustus 2025 van de interim Gemeentesecretaris Sander Gerritsen een brief gekregen, namens B&W.
Sander Gerritsen is Gemeentesecretaris van de Gemeente Groningen sinds 1 juli 2025.
Burgemeester en wethouders krijgen bij hun werk adviezen van de gemeentesecretaris.
De gemeentesecretaris is het hoofd van de gemeentelijke organisatie en adviseur van het college van B&W.
Hij is de schakel tussen wat het gemeentebestuur wil en de gemeentelijke organisatie kan.
In deze B&W brief legt de interm Gemeentesecretaris Sander Gerritsen mij
EENZIJDIG = ZONDER HOOR EN WEDERHOOR
– meerdere verboden op.
Het is zeer ernstig, uitermate onprofessioneel en onnaceptabel,
dat de een Gemeentesecretaris maatregelen en verboden oplegt zonder hoor en wederhoor!
In de ‘B&W Gemeentesecretaris Brief’ rept Sander Gerritsen met geen woord
over mijn SPOED verzoek, via (Top) Ambtenaar LinkedIN , om met Burgemeester Kamminga om tafel te gaan: om de veelheid aan problemen OP TE LOSSEN!
Ik weet niet of deze ‘B&W Gemeentesecretaris Brief’ met Burgemeester Roelien Kamminga en met B&W is besproken.
Ik heb de indruk van niet!
*
Ik geef naar u allen al veel langer aan dat ik constateer dat Bestuurlijk Groningen is ontploft.
In mijn visie is overduidelijk en – nu keihard bewijsbaar – dat diverse ambtenaren het roer hebben overgenomen.
Burgemeester Roelien Kamminga staat niet aan het roer van behoorlijk bestuur.
*
Ik benader al weken lang, (Top) Ambtenaar LinkedIN.
Ik heb hem meerdere malen – via sms – om een SPOED gesprek verzocht met Burgemeester Roelien Kamminga.
Ik wil in gesprek wegens een enorm lange lijst van enorme problemen.
Ik heb in iedergeval 22 ONDERWERPEN die opgelost moeten worden.
Zie verderop!
*
Ik belde vrijdagochtend – 29 augustus 2025 – naar (Top) Ambtenaar LinkedIN
Afgelopen woendagsochtend – 27 augustus – stelde O dat 0 vrijdag zou weten of ik,
en zo ja wanneer, een gesprek zou krijgen.
(Top) Ambtenaar LinkedIN wist mij vrijdagochtend wel te melden dat ik geen gesprek kreeg met Burgemeester Roelien Kamminga.
Maar 0 weigerde dat te motiveren!
(Top) Ambtenaar LinkedIN:
“Er is veel aan de hand. U krijgt een brief!”
*
Toen ik inderdaad die brief kreeg, maakte ik een grote fout.
Ik dacht dat (Top) Ambtenaar LinkedIN – niet gemandateerd zijnde – de B&W brief had geschreven en had ondertekend.
Dat zou ernstig zijn, maar nogmaals: ik zat fout.
Maar…
De situatie waarin ik en de Stad Groningen terecht is gekomen: is vele malen erger!
De door mij ontvangen B&W brief is namelijk ondertekend: door nieuwe interim Gemeentesecretaris Sander Gerritsen/ link
De ‘B&W brief’ komt dus van interim Gemeentesecretaris Sander Gerritsen.
Hij legt mij EENZIJDIG = ZONDER HOOR EN WEDERHOOR meerdere verboden op !!!!
In de ‘B&W Brief’ rept hij met geen woord over mijn SPOED verzoek, via (Top) Ambtenaar LinkedIN, om met Burgemeester Kamminga om tafel te gaan: om de veelheid aan problemen OP TE LOSSEN!
Het is zeer ernstig en uitermate onprofessioneel dat de een Gemeentesecretaris maatregelen en verboden oplegt: weer zonder hoor en wederhoor!
2.
De ‘B&W brief’ is mede gericht aan (Top) Ambtenaar LinkedIN.
Het Contact gaat al heel lang NIET goed.
(Top) Ambtenaar LinkedIN weigert baan af te gaan.
Na ruim 15 jaar is er nog steeds geen beleid, anders kan ik daar beroep op doen.
Zeer waarschijnlijk is (Top) Ambtenaar LinkedIN direct betrokken bij aan mij nieuwe – weer de eenzijdig – opgelegde verboden.
3.
B&W weigert al jarenlang mediation.
4.
Het 15 jaar durende Ambtenaren Contact Verbod zou op 1 juni 2025 zijn opgeheven.
(Top) Ambtenaar LinkedIN nagelaten om mij daarvan op de hoogte te brengen.
*
Lees ook meerdere juridische info beoordeling door Perplexity/ link
Onderstaande info staat helemaal aan het einde van mijn diverse vragen.
Ja, een Pandverbod of Ambtenaren Contact Verbod dient juridisch en bestuurlijk gebaseerd te zijn op vastgesteld beleid (zoals een protocol, gedragscode, of veiligheidsbeleid).
Dit volgt uit de beginselen van behoorlijk bestuur, rechtszekerheid en zorgvuldigheid: burgers en ambtenaren moeten vooraf weten onder welke omstandigheden en met welke rechtswaarborgen zulke ingrijpende sancties kunnen worden opgelegd.
Het ontbreken van beleid – zoals in Groningen vastgesteld is – is jarenlang problematisch en bestuurlijk laakbaar.
Had er vastgesteld beleid moeten zijn?
Ja, in de context van bestuurlijke rechtmatigheid en behoorlijk bestuur is het verplicht dat dergelijk ingrijpend contact- of locatieverbod op een helder vastgesteld beleid berust, inclusief procedurele regels als hoor- en wederhoor, toetsingscriteria, termijn, en evaluatie. De landelijke Ombudsman heeft dit in vergelijkbare gevallen herhaaldelijk geadviseerd, omdat willekeur, ongelijkheid en onduidelijke procedures ernstige schade veroorzaken.
Zijn er gemeenten met duidelijke vastgestelde regels?
Ja, verschillende gemeenten hebben expliciet beleid en protocollen vastgesteld voor contact- of pandverboden:
- De gemeente Tilburg heeft een agressieprotocol met concrete procedurele eisen en centraal aanspreekpunt voor contactverboden.
- In Enschede worden contactverboden via een vastgesteld protocol afgehandeld en geregistreerd.
- Gemeente Utrecht, Breda, Zwolle, en meerdere andere grote gemeenten hebben eveneens protocollen en beleid met vastgestelde termijnen, hoor- en wederhoor, motivatieplicht, registratie, periodieke evaluatie, en bezwaar- en beroepsmogelijkheden.
- In Limburg is vanuit de gedragscode zelfs een ‘afkoelingsperiode’ van twee jaar na bestuurlijke functie formeel vastgelegd als contactverbod.
Een contact- of pandverbod zonder basis in vastgesteld beleid,
zonder hoor- en wederhoor
en zonder duidelijke rechtswaarborgen is dus bestuurlijk onrechtmatig en strijdig met de vereisten van behoorlijk bestuur en rechtsbescherming.
*
In ieder geval 21 onderwerpen die moeten worden aangepakt en opgelost.
Ambtenaren Contact Verbod
1. 15 jaar durend – zou per 1 juni 2025 zijn opgeven – niets van vernomen.
2. Zonder beleid
Noorderzon 2025
3. Diverse soorten van overtredingen -> GEEN HANDHAVING!
4. Handhaver lijflijk in de fout
5. Vergunning al weer te laat
6. Afhandeling bezwaar 18 weken, tot de Kerst
7. Geen teruggave Griffiegelden bij noodzakelijke VoVo’s
Afdeling Evenementen en Marktwezen maken foute keuzen.
8. Oliebollenkraam Wiltjer onder Boomkroon ‘Kiki Plataan Grote Markt.’
Marktmeester weigert vergunning plattegrond te overhandigen.
9. O.a. Vrachtwagen Vishandelaar Zwier
ONDER door mij geredde A-Kerk Bomen.
Het is daar GEEN parkeerplaats noch marktlocatie.
Bommen Berend 2025
10. Bommen Berend 2025 LUID ONDER de kwetsbare A-Kerk Bomen (westzijde)
11. Bommen Berend 2025 onder Bomen bij Oude Museum (noordzijde)
Beide LOCATIES zijn GEEN EVENEMENTEN LOCATIE.
Bomen
12. Zware Rechtszaak wegens 10 cm kit verwijdering om ‘Kiki Plataan’ te redden.
13. Rijskwaterstaat wil bij Zuiderplantsoen opening (13 september 2025) 100db(A).
-> Naast Sterrebos: 85 db(A)
14. Bij langdurige ‘Kerklaan werkzaamheden’ lagen in de wijk Boomwortels
wekenlang bloot: in HITTE!
-> Ondanks meldingen van velen: GEEN HANDHAVING!
15. De Planter erkende tijdens ceremonie van officiele planting:
“De Bomen Grote Markt zijn te dicht op elkaar geplant!
Ik heb het ze gezegd, maar dit is wat ze willen!”
16. Talloze Boomspiegels zijn peukenbakken die niet worden opgeruid.
Verkeer
17. Door de gehele stad worden Bomen vernield door verkeersborden die in de beworteling
worden geramd, direct naast de stam.
Buurtstraat verandering Kerklaan Misleiding en levensgevaarlijk!
18. De op hande zijnde verandering van de buurtstraat Kerklaan,
geschiedt op EXTREME MISLEIDING
VOLKOMEN BUITEN DE REALITEIT VAN ALLE DAG!
Onvoldoende financiele middelen.
WORDT- wegens meerdere aspecten – LEVENSGEVAARLIJK.
19. Er zijn 21 Bomen gekapt in plaats van de 9 volgens de vergunning.
Onterecht opbouwen op historie.
20. Kerklaan 18-20 te Groningen – ambtenaren wilde monument
21. Kolfstraat 8 te Groningen – Schipperswoning enorme opbouw
22. Tegenwerking bij verkrijgen dossier.
***********************************************************************************
27 Augustus 2025 13:54 uur.
Mevrouw Kiki:
“Ik heb vanochtend – via(Top) Ambtenaar LinkedIN – om een SPOED GESPREK aangevraagd met Burgemeester Roelien Kamminga,
Ik ben gistermiddag in ONS Noorderplantsoen LIJFLIJK aangevallen:
door een ongeveer 25 jarige HANDHAVER van de Gemeente Groningen.
Ik probeerde – in het Noorderplantsoen – een Boom te beschermen: tegen het wangedrag
van de Stichting Noorderzon.
Terwijl ik de Boom probeerde te beschermen,
DWONG deze handhaver mij om deze Boom te vernielen!!!!
Omdat ik hem daarin nadrukkelijk niet volgde,
probeerde hij mij vervolgens EEN BOETE te geven.
Na een hele grote partij LUID SCHREEUWEN, van mijn kant,
begrepen hij, zeer onlangs is beëdigd door burgmeester Roelien Kamminga,
en zijn nog niet beëdigde jongere collega,
dat wat er gebeurde extreem onredelijk was.
De Gemeentelijke Handhaver creëerde vervolgens – alleen voor mij – de door mij de reëele en de eerder door mij verzonnen oplossing.
Ik kreeg GEEN BOETE.
De Boom moest wel vernield worden door de overige Noorderplantsoen liefhebbers.
*****************************************************************************************
Mevrouw Kiki:
“Vanochtend – 22 Augustsus 2025 om 11:50 uur – verklaarde de telefoniste van 14050 dat het Ambtenaren Contact Verbod – al sinds 1 JUNI 2025 – is ‘verlopen’.
We zijn dus nu bijna 3 maand verder!
*
Ik vind het onbeschrijfelijk kwetsend en onprofessioneel dat: (Top) Ambtenaar LinkedIN / link (tot dat moment de Enige Contact Ambtenares) een Burgemeester en/of B&W
mij daarvan NIET op de hoogte hebben gebracht !
Tot vandaag is daarvan geen offcieel bericht !
*
De afgelopen 15 jaar mocht ik slechts met 1 Ambtenaar contact hebben en dan een luttel uurtje in de week.
Zonder beleid,
Zonder einddatum,
Zonder evaluatie,
Zonder vervanger in vakantie.
Dat werkt dus niet.
Was er iets aan de hand met een door mij te redden Boom,
dan was het voor mij verboden om contact te hebben met de Groninger Bomenafdeling.
Ik heb dus al ruim 15 jaar mijn werk – het behoud van Bomen – niet kunnen doen.”
Klaas Koetje / link
*************************************************************************************
Gister kreeg ik het bericht dat de Casino Rechter In Noord Nederland /link uitspraak in beroep heeft gedaan.
Rammstein leidde volgens deze Casino Rechter NIET tot gehoorbeschadiging!
Meer info: Natuurbeschermingswacht / link
**************************************************************************************
Stadjers:
“Burgemeester Roelien Kamminga: Jij wordt NIET door de Stadjers bedankt!”
Niet één van de 205.000 Stadjers kan bezwaar maken: TEGEN MEGA NOORDERZON:
IN ONS NOORDERPLANTSOEN!
-> WEER door te late aanvraag van Dictator Stichting Noorderzon.
-> Door Kamminga’s NIET afwijzen van deze te laten vergunningaanvraag.
-> Door B&W’s te late vergunningen verlening.
Kamminga en B&W – hebben samen – besloten
dat vanaf vandaag – 22 Augustus 2025 –
DE AFHANDELING van GRATIS BEZWAAR BEGINT !!!!
-> DAT DE AFHANDELING VAN BEZWAAR: 18 WEKEN DUURT !!!!!!
-> 18 WEKEN !!!!!!
-> 18 WEKEN !!!!!!
**********************************************************************************
Onderzoek ALGEMEEN Gebruik Noorderplantsoen 2015 / link
Al sinds 2015 is het: GLASHELDER!
De STADJERS WILLEN HUN NOORDRPLANTSOEN TERUG.
Zo groot indrukwekkend groot is de beworteling ondergronds ! / link
2019 2022: Proberen Opheffen Bodemverdichting – Maar … hoe is het Nu ? / Link
We zijn nu jaren verder.
-> De reclame info geeft de regen de schuld.
-> Geen woord over de gevolgen van MEGA Noorderzon!
-> Ik werd in de Vovo van 2023 afgescheept met verdichtingmetingen: van 2018!
*************************************************************************************
Face book – Voordat iemand naar Noorderzon 2025 gaat moet hij / zij een tweede hypotheek afsluiten / link
Mijn vraag:
“Hoort extreem duur bij de toelatingtoets: Noorderzon ANBI Cultureel /link
***************************************************************************************
NOORDERONZIN ACHTER: DE ZWARTE BOUWHEKKEN !!!!!
NOORDERONZIN ACHTER: DE ZWARTE BOUWHEKKEN !!!!!
Met avonden achterheen HEGA HERRIE: tot diep in de omliggende WOONwijken.
In de vergunning is 85(A) – op de dichtsbije gevel – toegestaan.
Maar de HERRIE is tot bij de A-Brug te horen!!!
IN het gehele Noorderplantsoen overtreed Dictator Stichting Noorderzon
op diverse manieren de verleende vergunningen.
Zelfs de aller kwetsbaarste Monumentale Bomen worden NIET door de Dictator Stichting Noorderzon afdoende beschermd.
–> Burgemeester Roelien Kamminga grijpt NIET in.
Deze kers verse verantwoordelijke Burgemeester Roelien Kamminga is onbereikbaar.
In mijn visie – en velen met mij – toont haar nataligheid aan, dat Kamminga ongeschikt
is als Burgemeester.
> De Parkcommissie Noorderplantsoen / link grijpt NIET in.
> De Commissaris van de Koning/ link, René Paas, grijp ook al jaren NIET in.
Bij schending van de integriteit: is het OOK ZIJN taak om in te grijpen!
****************************************************************************************
PERS:
-> DvhN, SIKKOM, , OOGTV, Gezinsbode,
zijn allemaal goed op de hoogte van de GRONINGER EVENEMENTEN DICTATUUR.
Maar ZIJ zwijgen allemaal!
-> Zij zwijgen zelfs DOOFstil bij de knetter onprofessionele de uitspraak
van de Casino Rechter Rechtbank Noord Nederland:
Bezoekers krijgen zelfs bij 103 db(A) Rammstein: Geen Lichte Gehoorschade!
**************************************************************************
Meer foto’s 2025: NoorderplantPOEN! / link
Foto’s opbouw MEGA Noorderzon 2025:
ONDER DE ACHTERBAND van ‘deze snelle fietsgast’
is de Kwetsbare Boomwortel de Monumentale Vleugelnoot zichtbaar!
Deze super fietsgast zorgt puur voor zichzelf: Veilig Vast Aan Het Hek.

“Je bent een rund als je met (g)een evenementenverzekering stunt”/ link
BetonBos en De Te Vaak Falende Rechtbank Noord Nederland… / link
********************************************************************************************

Op deze luchtfoto – Na NOORDERZON – is zelfs in de lucht de kale speelvelden zien van Het Noorderplantsoen:






Eigen foto Noorderzon 2025 opbouw.
Hoe groot is de beworteling ondergronds?/ link
********************************************************************************************
